Disponibile con Image Server
Lo strumento Parametri superficie determina i parametri di una superficie raster come aspetto, pendenza e curvatura.
Aspetto
Il parametro di superficie Aspetto identifica la direzione della discesa. Il valore di ciascuna cella nel raster di output rappresenta la direzione della bussola cui la superficie è rivolta in quella posizione. È misurato in senso orario, in gradi da 0 (verso nord) a 360 (di nuovo verso nord), compiendo un cerchio completo. Alle aree piane, senza direzione verso il basso è attribuito un valore di -1.

Le immagini che seguono mostrano un dataset di elevazione di input e il raster di aspetto di output.

Applicazioni di aspetto
Con il tipo di parametro di superficie Aspetto è possibile:
- Trovare tutte le pendenze di una montagna rivolte a nord come parte di una ricerca per individuare le migliori discese per le piste da sci.
- Calcolare l'illuminazione solare per ciascuna posizione in una regione come parte di uno studio per stabilire la diversità della vita in ogni posto.
- Trovare tutte le pendenze in direzione sud di una regione montuosa per identificare le posizione in cui è probabile che la neve si sciolga prima come parte di uno studio per identificare le posizioni residenziali potrebbero essere colpiti per primi dal deflusso.
Calcoli aspetto geodetico
L'aspetto geodetico in una posizione è la direzione angolare α della superficie in discesa rispetto al nord, misurato su un piano che è tangente alla superficie ellissoide (il piano blu nella seguente illustrazione).

Per calcolare l'aspetto presso ciascuna posizione, una superficie quadratica o biquadratica è adattata alle celle vicine utilizzando il Metodo dei minimi quadrati (LSM). Da quella superficie si calcola una normale alla superficie presso la posizione cella. Nella stessa posizione si calcola inoltre, la normale all'ellissoide perpendicolare al piano tangente della superficie ellissoide.
Dal momento che il pianto tangente della superficie ellissoide è considerato il piano di riferimento, la normale alla superficie è proiettata sul piano. Infine, l'aspetto geodetico è calcolato misurando l'angolo α in direzione oraria tra il nord e la proiezione della normale alla superficie (vedere precedente illustrazione).
Pendenza
Il parametro di superficie Pendenza è la ripidezza presso ogni cella di una superficie raster. Quanto più basso è il valore della pendenza tanto più piano è il terreno; quanto più alto è il valore della pendenza tanto più ripido è il terreno.
Il raster di pendenza di output può essere calcolato con una delle due unità: gradi o percentuale (aumento percentuale). L'aumento percentuale è compreso meglio se lo si considera come l'aumento diviso per l'andamento, moltiplicato per 100. Si consideri il triangolo B qui sotto. Quando l'angolo è a 45 gradi, l'aumento è uguale all'andamento e l'aumento percentuale è il 100 percento. All'avvicinarsi dell'angolo di pendenza alla verticale (90 gradi), come nel triangolo C, l'aumento percentuale inizia ad avvicinarsi all'infinito.

La pendenza è eseguita più frequentemente su un dataset di elevazione come mostrano le seguenti immagini. Le pendenze più ripide sono ombreggiate in marrone scuro sul raster di pendenza di output.

Lo strumento può essere utilizzato anche con altri tipi di dati continui, come la popolazione, per identificare cambiamenti netti nel valore.
Calcoli pendenza geodetica
La pendenza geodetica è l'angolo formato tra due superfici topografiche e la superficie ellissoide. Qualsiasi superficie parallela alla superficie ellissoide ha una pendenza di 0. Per calcolare la pendenza presso ciascuna posizione, una superficie quadratica o biquadratica è adattata alle celle vicine utilizzando il Metodo dei minimi quadrati (LSM). Da quella superficie si calcola una normale alla superficie presso la posizione cella. Nella stessa posizione si calcola inoltre, la normale all'ellissoide perpendicolare al piano tangente della superficie ellissoide. La pendenza, in gradi, è calcolata dall'angolo tra la normale all'ellissoide e la normale alla superficie topografica. Questo angolo è lo stesso di quello tra la superficie topografia e la superficie ellissoide.
Panoramica della curvatura di superficie
La curvatura è una raccolta di parametri di superficie utilizzati per descrivere la forma di una superficie, di solito lungo una linea sulla superficie, creata dall'intersezione di un piano attraverso la superficie. Concettualmente, la curvatura geometrica trova il cerchio più adatto (cerchio osculante) per approssimare la forma della curva in qualsiasi punto. La curvatura è il reciproco del raggio di quel cerchio (1/r). Una linea più dritta si adatterà meglio con un cerchio più ampio determinando una curvatura minore mentre una linea di curvatura più stretta si adatterà meglio con un cerchio più piccolo determinando una curvatura più ampia (Crane 2018).

Curvatura profilo (linea di pendenza normale)
Il parametro di superficie Curvatura profilo (linea di pendenza normale) misura la curvatura normale geometrica lungo la linea di pendenza. Detta a volte curvatura profilo, può essere visualizzata come la forma di una sezione trasversale verticale (profilo) attraverso la superficie. Come illustrato di seguito, il piano verticale taglia la superficie lungo la linea arancione, e se staccato apparirebbe come un profilo a sezione trasversale della superficie.

Il piano è definito da due vettori, la freccia gialla che mostra la direzione del gradiente o freccia della linea di pendenza e il vettore rosso che indica la normale alla superficie. La combinazione del vettore rosso e di quello giallo definisce il piano arancione e la relativa linea arancione d'intersezione con la superficie. La curvatura del profilo è calcolata lungo la linea arancione (linea di pendenza normale) nel piano arancione.
La terminologia linea di pendenza normale di Minár et al (2020) è usata in questo caso per ridurre ambiguità e confusione con la terminologia precedente.
Questa curvatura di solito è applicata per caratterizzare l'accelerazione e la decelerazione del flusso lungo la superficie sotto l'azione della forza di gravità. A velocità superiore, l'acqua è in grado di trasportare e spostare maggiori quantità di materiale; le aree di accelerazione diventano aree di erosione e le aree di decelerazione diventano aree di deposito.
Nell'immagine che segue, in viola sono illustrate le aree con elevata curvatura profilo convessa (linea di pendenza normale) lungo il bordo del cono. In arancione sono illustrate le aree con elevata curvatura profilo concava (linea di pendenza normale) Le aree con valori di curvatura piccoli sono trasparenti.

I risultati di questa curvatura sono differenti dall'output di curvatura Profilo del precedente strumento Curvatura. Una spiegazione delle differenze tra curvatura Profilo e curvatura Profilo (linea di pendenza) è riportata più avanti nel testo.
La formula per calcolare la curvatura profilo (linea di pendenza normale) è la seguente:

- Dove:KP = curvatura profilo (linea di pendenza normale) z = f(x,y) 
Curvatura tangenziale (contorno normale)
Il parametro di superficie Curvatura tangenziale (contorno normale) misura la curvatura geometrica, normale, perpendicolare alla linea di pendenza, tangente alla linea di contorno. È detta curvatura tangenziale perché misura la curvatura tangente alla linea di contorno. È descritta come contorno normale (Minár et al., 2020) perché il piano di taglio viola che genera la linea viola lungo la quale si calcola la curvatura è definito dal vettore del contorno blu e dal vettore della normale alla superficie, rosso.

La curvatura tangenziale (contorno normale) di solito è applicata per caratterizzare la convergenza e la divergenza di flusso, topografica, su una superficie.
Nell'immagine che segue, le aree con elevata curvatura tangenziale convessa (contorno normale) attorno al bordo del cono e il bordo rivolto verso l'osservatore, sono mostrate in blu. Queste sono aree di flusso divergente. Le aree di elevata curvatura tangenziale concava (contorno normale) all'interno del cono presentano flusso convergente in rosso. Le aree con valori di curvatura piccoli sono trasparenti.

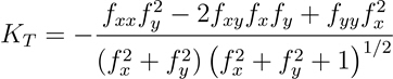
La formula per calcolare la curvatura tangenziale (contorno normale) è la seguente:

- Dove:KT = curvatura tangenziale (contorno normale) z = f(x,y) 
Curvatura del piano (contorno proiettato)
Il parametro di superficie Curvatura del piano (contorno proiettato) misura la curvatura lungo le linee di contorno. A volte è detto curvatura del contorno o curvatura orizzontale, La curvatura del contorno proiettato è misurata lungo la linea di contorno in blu, nel punto in cui il piano orizzontale interseca la superficie.

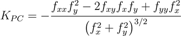
La formula per calcolare la curvatura del piano (contorno proiettato) è la seguente:

- Dove:KPC = curvatura del piano (contorno proiettato) z = f(x,y) 
L'immagine che segue illustra la differenza tra curvatura tangenziale (contorno normale) misurata lungo la linea viola e curvatura del piano (contorno proiettato) misurata lungo la linea di contorno blu.

Torsione geodetica contorno
Il parametro di superficie Torsione geodetica contorno misura il tasso di variazione nell'angolo di pendenza lungo le linee di contorno.
La formula per calcolare la torsione geodetica contorno è la seguente:

- Dove:τ = torsione geodetica contorno z = f(x,y) 
Curvatura media
Il parametro di superficie Curvatura media misura la curvatura totale della superficie. Viene calcolata come media della curvatura minima e massima. È anche matematicamente equivalente alla media delle curvature profilo (linea di pendenza normale) e tangenziale (contorno normale). Nell'immagine che segue sono illustrati, il piano di taglio profilo (linea di pendenza normale) (arancione) e il piano di taglio tangenziale (contorno normale) (viola).

La curvatura profilo (linea di pendenza normale) e tangenziale (contorno normale) misurano ciascuna la convessità e la concavità in una determinata direzione, mentre la curvatura media descrive la convessità o concavità intrinseca della superficie, indipendente dalla direzione o dall'influenza della gravità. Il suo segno (positivo o negativo) non è un indicatore definitivo di convessità o concavità tranne in corrispondenza dei valori estremi, dal momento che una superficie può essere concava in una direzione e convessa nell'altra. Valori positivi, elevati indicano aree di denudamento massimo e valori negativi, alti indicano aree di massimo accumulo (Minár et al., 2020).
La formula per calcolare la curvatura media è la seguente:

- Dove:KM = curvatura media z = f(x,y) 
Curvatura gaussiana
Il parametro di superficie Curvatura gaussiana misura la curvatura generale della superficie. È calcolato come il prodotto della curvatura minima e massima e può assumere valori negativi e positivi. I valori positivi indicano che la superficie è convessa in corrispondenza di quella cella e i valori negativi indicano che è concava. Un valore pari a 0 indica che la superficie è piana.
La formula per calcolare la curvatura gaussiana è la seguente:

- Dove:KG = curvatura gaussiana z = f(x,y) 
Curvatura Casorati
Il parametro di superficie Curvatura Casorati misura la curvatura generale della superficie. Può essere zero o qualunque numero positivo. Valori positivi, elevati indicano aree di forte curvatura in varie direzioni.
La formula per calcolare la curvatura Casorati è la seguente:

- Dove:KC = curvatura Casorati z = f(x,y) 
Tipi di curvatura di base e combinatori
La curvatura tangenziale (contorno normale), la curvatura profilo (linea di pendenza normale) e la torsione geodetica contorno sono considerate tipi di curvatura di base in quanto combinandole è possibile esprimere altre curvature. Utilizzando la terminologia di Minár et al (2020), sono descritte come il trio di base.
Oltre alle espressioni precedentemente indicate per il calcolo di curvatura media, curvatura gaussiana e curvatura Casorati, queste curvature possono anche essere calcolate combinando il trio di base.
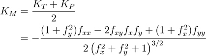
La formula per calcolare la curvatura media è la seguente:

- Dove:KM = curvatura media KT = curvatura tangenziale (contorno normale) KP = curvatura profilo (linea di pendenza normale) z = f(x,y) 
La formula per calcolare la curvatura gaussiana è la seguente:

- Dove:KG = curvatura gaussiana KT = curvatura tangenziale (contorno normale) KP = curvatura profilo (linea di pendenza normale) τ = torsione geodetica contorno z = f(x,y) 
La formula per calcolare la curvatura Casorati è la seguente:

- Dove:KC = curvatura Casorati KM = curvatura media KG = curvatura gaussiana z = f(x,y) 
Confronto con algoritmi legacy dello strumento Curvatura
Lo strumento Parametri superficie utilizza degli algoritmi di curvatura differenti da quelli dello strumento Curvatura e matematica geodetica per i calcoli, pertanto non è possibile un confronto diretto degli output tra questi due strumenti. I tipi di curvatura Parametri di superficie, profilo (linea di pendenza normale) e tangenziale (contorno normale) sono curvature geometriche reali (Minár et al. 2020). La curvatura media dello strumento Parametri di superficie è la media della curvatura minima e massima in quel punto. I tipi Profilo e planform dello strumento Curvatura sono derivate direzionali, che non misurano effettivamente la curvatura geometrica della superficie in quella posizione (Zevenbergen e Thorne 1987). Il segno (positivo o negativo) per Profilo (linea di pendenza normale) nello strumento Parametri superficie è l'opposto della Curvatura profilo dello strumento Curvatura. Lo strumento Parametri superficie esegue il calcolo nello spazio geodetico mentre lo strumento Curvatura utilizza le coordinate planari e la matematica Lo strumento Parametri superficie può adattare una superficie quadrata o biquadratica, lo strumento Curvatura supporta solo quella biquadratica.
Distanza quartiere
Il valore Distanza quartiere è la distanza della mappa dal centro della cella di elaborazione attuale al centro di un vicinato ortogonale. Una distanza quartiere minore acquisisce maggiore variabilità locale nel paesaggio, che produce caratteristiche di feature di paesaggio più piccole. Con dati di elevazione a più alta risoluzione, può essere appropriata una distanza di quartiere maggiore a causa di errore di scala dettagliata (disturbo) nei dati che non riflette i processi di morfologia d'interesse o perché la morfologia d'interesse è più riconoscibile a distanze maggiori.
Nell'esempio seguente è stato usato un modello di superficie digitale (DSM) con risoluzione a 5 metri che presenta disturbo evidente e artefatti di striping nel risultato di curvatura del profilo (linea di pendenza normale). Nella prima immagine è stata utilizzata la finestra 3 x 3 predefinita o distanza quartiere 5 metri, la seconda immagine è una finestra di cella 9 x 9 o distanza quartiere 20 metri e nella terza immagine è stata utilizzata una finestra di cella 15 x 15 o distanza quartiere 35 metri. In questo esempio all'aumentare della distanza quartiere, le feature più significative o principali del paesaggio diventano più chiare, mentre il disturbo e gli artefatti di striping sono meno visibili. Sebbene una distanza quartiere più ampia risulti sempre in minor disturbo, la distanza più appropriata dipenderà dalla dimensione cella dei dati e dalla dimensione delle feature di morfologia importanti per l'applicazione.
Sono illustrati 
La distanza quartiere più piccola è uguale alla dimensione cella del raster di input. Inoltre, la distanza quartiere più ampia corrisponde a sette volte la dimensione cella, risultando in una finestra di cella di 15 x 15. Qualsiasi distanza specificata che supera di sette volte la dimensione cella risulterà sempre nell'uso di una finestra di cella di 15 x 15.

Se è specificata una distanza quartiere che non risulta in un intervallo dispari della dimensione cella, subirà un arrotondamento per eccesso al successivo intervallo della dimensione cella. Per esempio, se nella precedente illustrazione si specifica una distanza quartiere di 25 metri, avverrà un arrotondamento all'intervallo successivo della dimensione cella, 30 metri (tre volte la dimensione cella), determinando una finestra di cella 7 x 7.
Se i dati di elevazione corrispondono a una risoluzione spaziale molto più dettagliata rispetto a quanto necessario per analizzare le morfologie d'interesse, un'alternativa all'opzione della finestra di quartiere è di ricampionare o aggregare i dati in una dimensione cella più ampia, più appropriata per l'applicazione.
I calcoli del parametro di superficie sono sensibili alla dimensione cella e alla distanza quartiere. Wilson (2018) e Minár et al (2020) forniscono alcuni riepiloghi efficaci, aggiornati dei numerosi studi sull'argomento.
Vicinanza adattiva
Quando selezionato, il parametro Usa vicinanza adattiva varia la distanza quartiere (dimensione o area finestra) utilizzata per calcolare il parametro di superficie per meglio acquisire variazioni rilevanti nel paesaggio. Lo strumento determina automaticamente la dimensione finestra, appropriata calcolando la deviazione locale dall'elevazione media (DEV) (Wilson e Gallant, 2000) in base ai valori di tutte le celle nel quartiere. Tenta di utilizzare la dimensione finestra più ampia possibile minimizzando la variabilità della superficie (James et al., 2014). La dimensione finestra più ampia utilizzata è specificata nel parametro Distanza quartiere.
Quando si calcola il parametro di superficie con un quartiere fisso si utilizzano tutti i valori della cella all'interno del quartiere. Quando si calcola il parametro di superficie con una vicinanza adattiva, si utilizzano soltanto nove celle del quartiere (le celle ortogonali e diagonali più esterne e le celle di elaborazione al centro).

La vicinanza adattiva è molto utile per analizzare un paesaggio con feature terreno di dimensione ampiamente variabile, come nel caso di vaste colline ondulate con piccoli calanchi o canali di torrentelli, da un DEM ad alta risoluzione. In una tale situazione, una distanza quartiere piccola, di 1 metro per esempio, è utilizzabile per i canali dei ruscelli mentre una distanza quartiere più ampia, di 10 o 15 metri è utilizzabile per le colline.
Nella seguente illustrazione, una vicinanza minore è appropriata per il ruscello e il bordo della scarpata, una vicinanza più ampia per il passaggio dalla collina alla pianura e una vicinanza ancora più vasta per l'altopiano omogeneo, quasi pianeggiante.

Effetto bordo sulla distanza quartiere
Alle celle attorno al bordo esterno dell'output verrà assegnato NoData quando per il calcolo si dispone d'informazioni insufficienti.
Utilizzando l'opzione vicinanza adattiva, l'estensione del raster di output si restringe di una cella attorno al suo bordo esterno.
Utilizzando una distanza quartiere fissa più ampia della dimensione cella di input, l'estensione del raster di output verrà ridotta in base alla distanza quartiere in uso. La quantità della riduzione può essere calcolato come (larghezza finestra in pixel - 1) / 2
Per esempio, se la distanza quartiere comporta l'uso di una finestra di 7 x 7 celle, il raster di output si ridurrà di tre celle attorno al suo bordo esterno.
Quadratico e biquadratico
Esistono due tipi di superfici locali che possono essere adattati alla finestra quartiere: quadratico e biquadratico. Il tipo predefinito è il quadratico ed è consigliato per la maggior parte dei dati e delle applicazioni.
La superficie quadratica è un adattamento ai minimi quadrati dei punti e non attraversa esattamente tutti i punti. L'uso della superficie quadratica, non attraversando esattamente tutti i punti, minimizza l'effetto dei dati di superficie di disturbo come una superficie lidar ad alta risoluzione. Ciò determina un risultato più rappresentativo per tutti i parametri di superficie ed è molto importante quando si calcola la curvatura.
La superficie quadratica dovrebbe essere utilizzata per specificare una dimensione quartiere più ampia della dimensione cella e quando si utilizza l'opzione vicinanza adattiva.
La superficie biquadratica si adatta esattamente ai dati delle celle quartiere. Questa opzione è idonea per una superficie di input altamente accurata priva di disturbo casuale. Se la distanza quartiere è maggiore della dimensione cella raster di input, andranno persi i vantaggi della precisione del tipo di superficie biquadratica, pertanto la distanza quartiere dovrebbe essere lasciata come predefinita (uguale alla dimensione cella).
Trasformazione coordinate geodetiche
Lo strumento Parametri superficie esegue i calcoli in un sistema di coordinate 3D geocentrico, anche detto sistema di coordinate Earth Centered, Earth Fixed (ECEF), considerando la forma ellissoide della terra. Il risultato del calcolo non è influenzato dalla modalità di proiezione del dataset. Utilizzerà le unità z del raster di input se definite nel riferimento spaziale. Se il riferimento spaziale dell'input non definisce le unità z, occorrerà definirle con il parametro unità z.
Il sistema di coordinate ECEF è un sistema di coordinate cartesiane destrorse 3D con origine al centro della terra, in cui qualsiasi posizione è rappresentata da coordinate X, Y, e Z. Si veda la figura seguente per un esempio di una posizione di destinazione T espressa con coordinate geocentriche:

Il raster di superficie è trasformato dal sistema di coordinate di input in un sistema di coordinate geocentrico 3D.
Il calcolo geodetico utilizza una coordinata X, Y, Z calcolata in base alle coordinate geodetiche (latitudine φ, longitudine λ, altezza h). Se il sistema di coordinate del raster di superficie di input è un sistema di coordinate proiettato (PCS), il raster viene inizialmente riproiettato in un sistema di coordinate geografiche (SCG) in cui ogni posizione ha una coordinate geodetica. Successivamente è trasformato in un sistema di coordinate ECEF. L'altezza h (valore z) è l'altezza dell'ellissoide riferita alla superficie dell'ellissoide. Si veda la seguente illustrazione grafica.

Per trasformare le coordinate ECEF da coordinate geodetiche (latitudine φ, longitudine λ, altezza h), utilizzare le seguenti formule:
X = (N(φ) + h) * cos(φ) * cos(λ)Y = (N(φ) + h) * cos(φ) * sin(λ)Z = (b2 / a2 * N(φ) + h) * sin(φ)- Dove:N(φ) = a2 / √( a2 * cos(φ)2 + b2 * sin(φ)2)φ = latitudine λ = longitudine h = altezza ellissoide a = asse maggiore dell'ellissoide b = asse minore dell'ellissoide 
Nelle precedenti formule l'altezza h dell'ellissoide è espressa in metri. Se l'unità z del raster di input è specificata in un'altra unità qualsiasi, sarà trasformata internamente in metri.
Lettura consigliata
Per una maggiore comprensione dei metodi di analisi della superficie e delle relative applicazione, si vedano i riferimenti riportati di seguito. In aggiunta, Hengl e Reuter (2008), e Wilson (2018), forniscono una catalogazione completa di queste tecniche di analisi del terreno e di molte altre e delle relative applicazioni. Minár et al (2020) fornisce un riepilogo completo e un confronto con i lavori precedenti sulla curvatura di superficie terreste, con chiarezza e definizione di molti tipi di curvatura.
Riferimenti
B. Hofmann-Wellenhof, H. Lichtenegger e J. Collins, 2001. GPS - theory and practice. Sezione 10.2.1. pag. 282.
Burrough, P. A., e McDonell, R. A., 1998. Principles of Geographical Information Systems (Oxford University Press, New York), 190 pagg.
Crane K., 2018. Discrete Differential Geometry: An Applied Introduction. Notices of the AMS, Communication. https://www.cs.cmu.edu/~kmcrane/Projects/DDG/paper.pdf
David Eberly 1999. Least Squares Fitting of Data (Geometric Tools, LLC), pagg. 3.
E.J.Krakiwsky, e D.E.Wells, 1971. Coordinate Systems In Geodesy (GEODESY AND GEOMATICS ENGINEERING, UNB), LECTURE NOTES, N. 16, 1971, pagg. 18-38
Hengl T. e Reuter H. 2008. Geomorphometry Concepts, Software, Applications. Elsevier.
James D.E., M.D. Tomer, S.A. Porter. 2014. Trans-scalar landform segmentation from high-resolution digital elevation models. Poster presentato in occasione di: ESRI Conferenza annuale degli utenti, luglio 2014; San Diego, CA.
Lancaster, P. e Šalkauskas, K. Curve and Surface Fitting: An Introduction. Londra: Academic Press, 1986.
Marcin Ligas, e Piotr Banasik, 2011. Conversion between Cartesian and geodetic coordinates on a rotational ellipsoid by solving a system of nonlinear equations (GEODESY AND CARTOGRAPHY), Vol. 60, N. 2, 2011, pagg. 145-159
Minár, J., Evans, I. S., & Jenčo, M. (2020). A comprehensive system of definitions of land surface (topographic) curvatures, with implications for their application in geoscience modelling and prediction. Earth-Science Reviews, 103414. https://doi.org/10.1016/j.earscirev.2020.103414
Wilson J.P e Gallant, J.C. (Eds.) 2000. Terrain Analysis: Principles and Applications. John Wiley & Sons, Inc.
Wilson J.P 2018. Environmental Application of Digital Terrain Modeling. John-Blackwell, Inc.
Zevenbergen, L. W., e C. R. Thorne. 1987. Quantitative Analysis of Land Surface Topography. Earth Surface Processes and Landforms 12: 47-56.