トレンド ラスターの生成ツールは、多次元ラスターの 1 つまたは複数の変数のディメンションに沿って各ピクセルのトレンドを推定します。
注意:
Map Viewer でこのツールを、ArcGIS Enterprise で最新のマップ作成ツールを、それぞれ使用できるようになりました。 詳細については、「トレンド ラスターの生成 (Map Viewer)」をご参照ください。
このツールを実行するには、組織がラスター解析用に構成されている必要があります。
このツールが Map Viewer Classic に表示されない場合は、組織の管理者に問い合わせてください。 お使いのポータルがラスター解析用に構成されていないか、ユーザーに、このツールを実行するのに必要な権限がないことが考えられます。
ワークフロー図

例
- 40 年分の月次海洋温度データをもとに、各ピクセルの線形トレンド ライン フィットを計算して、時間の経過に伴いどこでどのように温度が変化したかを表示します。
- 10 年にわたって収集された日次降水量データをもとに、調和トレンド ライン オプションを使用し、R2 近似性統計情報を検証してデータにおける季節トレンドの有無を確認します。
使用上の注意
このツールは、線形、調和、多項式トレンド ラインに沿ってデータを適合させるために使用するか、Mann-Kendall 検定か Seasonal-Kendall 検定を使用してトレンド検出を実行するために使用されます。
このツールで生成された出力トレンド ラスターは、トレンド ラスターを使用した予測ツールの入力として使用されます。
Mann-Kendall 検定や Seasonal-Kendall 検定は、データに単調トレンドがあるかどうかを決定するために実施します。 これらの検定はノンパラメトリックです。すなわち、特定のデータ分布は想定されません。Mann-Kendall 検定では、自己系列相関も季節性も考慮されません。 データが季節性であれば、Seasonal-Kendall 検定の方が適切です。
トレンドをディメンションに沿って変数値にフィッティングするための 3 つのトレンド ライン オプション (リニア、調和、多項式) があります。

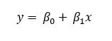
- 線形 - 線形トレンド ラインは、シンプルな線形リレーションシップの推定に使用されるベストフィット直線です。 線形トレンドは、一定の比率で増加または減少している変化率を強調します。 線形トレンド ラインの式は、次のとおりです。

- 要素:
- y = ピクセルの変数値
- x = ディメンション値
- ß0 = y インターセプト
- ß1 = 変化の線形勾配または率
- ß1 > 0 は、増加しているトレンドを示します。
- ß1 < 0 は、減少しているトレンドを示します。
- 調和 - 調和トレンド ラインは、周期的なパターン (季節的な温度変化など) に従うデータを示す場合に最適に使用される、定期的に繰り返す曲線です。 調和トレンド ラインの式は、次のとおりです。

- 要素:
- y = ピクセルの変数値
- t = ユリウス日
- ß0 = y インターセプト
- ß1 = 変化率
- α, γ = 年次変化または年内変化の係数
- ω = 1 / i
- f = 高調波頻度
- 多項式 - 多項式トレンド ラインは、変動するデータに役立つ曲線です。 この場合、多項式の次数の値は、発生する変動の最大数を示すために使用されます。 多項式トレンド ラインの式は、次のとおりです。

- 要素:
- y = ピクセルの変数値
- x = ディメンション値
- ß0, ß1, ß2, ß3, ..., ßn = 一定係数
リニア、調和、または多項式トレンド フィッティングを実行する場合、出力は多次元ラスター レイヤーで、その各スライスがトレンド ラインに関する情報を含むマルチバンド ラスターです。 1 つのディメンション (たとえば、時間) を含むデータセットの 1 つの変数のトレンドを解析している場合、出力データセットには 1 つのスライスが存在します。 複数のディメンション (たとえば、時間と深度) を含むデータセットの 1 つの変数を解析している場合、各スライスには、解析に含まれなかったディメンションに沿った各ディメンション値のトレンド情報が含まれます。
線形トレンド解析の場合、出力には 3 バンド ラスターが含まれます。
- バンド 1 = 勾配
- バンド 2 = インターセプト
- バンド 3 = RMSE (二乗平均平方根誤差) またはベスト フィットのラインの周りの誤差
調和トレンド解析の場合、出力のバンド数は高調波周波数によって異なります。 周波数が 1 に設定されている場合、出力は 5 バンド ラスターです。
- バンド 1 = 勾配
- バンド 2 = インターセプト
- バンド 3 = Harmonic_sin1
- バンド 4 = Harmonic_cos1
- バンド 5 = RMSE
周波数が 2 に設定されている場合、出力は 7 バンド ラスターです。
- バンド 1 = 勾配
- バンド 2 = インターセプト
- バンド 3 = Harmonic_sin1
- バンド 4 = Harmonic_cos1
- バンド 5 = Harmonic_sin2
- バンド 6 = Harmonic_cos2
- バンド 7 = RMSE
多項式トレンド解析の場合、出力のバンド数は多項式の次数によって異なります。 2 次多項式フィッティングでは、4 バンド ラスターが生成されます。
- バンド 1 = Polynomial_2
- バンド 2 = Polynomial_1
- バンド 3 = Polynomial_0
- バンド 4 = RMSE
3 次多項式フィッティングでは、5 バンド ラスターが生成されます。これは、次のようになります。
- バンド 1 = Polynomial_3
- バンド 2 = Polynomial_2
- バンド 3 = Polynomial_1
- バンド 4 = Polynomial_0
- バンド 5 = RMSE
Mann-Kendall 検定または Seasonal-Kendall 検定のいずれかを実行するためにツールが使用される場合は、出力は次のように 5 バンド ラスターになります。
- バンド 1 = Sen の勾配
- バンド 2 = P 値
- バンド 3 = Mann-Kendall スコア (S)
- バンド 4 = S バリアンス
- バンド 5 = Z スコア
Mann-Kendall 検定と Seasonal-Kendall 検定の出力は、多次元時系列のピクセルのうち、統計的に有意なトレンドを持つものを決定するために使用されます。 この情報と、線形、調和、多項式トレンド解析を併用することで、時系列における有意なトレンドを抽出できます。 有意な P 値を持つピクセルを含むマスクを生成し、そのマスクを多次元ラスターに適用して、マスクを適用した多次元ラスターをツールの入力として使用して線形、調和、多項式トレンド解析を実行します。
モデル近似性統計は、リニア、調和、および多項式トレンド ラスター用のオプション出力として生成できます。 二乗平均平方根誤差 (RMSE)、R2、およびトレンド傾斜の P 値を計算し、[RGB] レンダラーを使って統計を赤、緑、および青のチャンネルとして指定することで、出力ラスターに表示することができます。
多次元画像レイヤーを公開する方法については、「多次元画像レイヤーの公開」をご参照ください。
[現在のマップ範囲を使用] がオンの場合、現在のマップ範囲に表示されるピクセルだけが解析されます。 オフの場合は、入力イメージ レイヤー全体が解析されます。
次の表に、このツールのパラメーターを示します。
| パラメーター | 説明 |
|---|---|
| トレンドを解析する多次元画像レイヤーの選択 | 解析する入力多次元画像レイヤー。 |
| 変数トレンドを解析する際に沿うディメンションの選択 | このディメンションに沿って、選択された変数に対してトレンドが計算されます。 |
| トレンドを解析する変数の選択 | トレンドを計算する変数。 変数が指定されない場合、多次元画像レイヤーの最初の変数が解析されます。 |
| ディメンションに沿って変数値をフィッティングさせるためのラインのタイプを選択 | ディメンションに沿ったピクセル値へのフィッティングに使用するラインのタイプを指定します。
|
| シーズン期間の長さの時間単位を指定 | Seasonal-Kendall 検定を実行する際、季節周期として使用される時間単位を指定します。
|
| 調和周期の長さを指定 | モデル化する周期変動の長さ。 たとえば、葉の緑度には 1 年に 1 回の強い変動サイクルが存在することが多いため、サイクル長は 1 年になります。 1 時間ごとの温度データには、1 日に 1 回の強い変動サイクルが存在するため、サイクル長は 1 日になります。 データが 1 年間に 2 つの変動サイクルで処理される場合、サイクル長は 0.5 年または 182.5 日になります。 1 年のサイクルで変化するデータのデフォルト長は 1 年です。 このパラメーターは、トレンド ライン タイプが [調和] に設定されていて、ディメンションが時間の場合に必須です。 |
| 調和周期の長さの時間単位を選択 | 調和サイクルの長さに使用される時間単位を指定します。
このパラメーターは、トレンド ライン タイプが [調和] に設定されていて、ディメンションが時間の場合に必須です。 |
| 調和トレンド フィッティングで使用する頻度の指定 | 調和トレンド フィッティングで使用する頻度。 このパラメーターは 1 年間の周期頻度を指定します。 頻度を 1 に設定すると、線形と 1 次調和曲線の組み合わせを使用して、モデルに適合します。 頻度が 2 の場合、線形、1 次調和曲線、および 2 次調和曲線の組み合わせがモデルのフィッティングに使用されます。 デフォルト値は 1 です。 このパラメーターは、トレンド ライン タイプが [調和] に設定されていて、ディメンションが時間の場合に必須です。 |
| トレンド フィッティングで使用する多項式の次数を指定 | 多項式トレンド フィッティングで使用する多項式の次数。 デフォルト値は 2、つまり 2 次多項式です。 このパラメーターは、トレンド ライン タイプが [多項式] に設定されていて、ディメンションが時間の場合に必須です。 |
| トレンド ラスターに含めるモデル統計の選択 | 出力で計算される統計情報を指定します。
|
| 計算時に欠損値を無視 | 解析で欠損値を無視するかどうかを指定します。
|
| 結果レイヤー名 | [マイ コンテンツ] に作成され、マップに追加されるレイヤーの名前。 デフォルトの名前は、ツール名と入力レイヤー名に基づいて設定されます。 レイヤーがすでに存在する場合は、別の名前を指定するよう求められます。 [出力の保存場所] ドロップダウン ボックスを使用して、結果を保存する [マイ コンテンツ] 内のフォルダーの名前を指定できます。 |
環境
解析環境設定は、ツールの結果に影響する追加パラメーターです。 このツールの解析環境設定にアクセスするには、ツール ウィンドウの上部にある設定ボタン
をクリックします。
このツールでは次の [解析環境] が適用されます。
- 出力座標系 - 出力レイヤーの座標系を指定します。
- 範囲 - 解析に使用するエリアを指定します。
- スナップ対象ラスター - 指定したスナップ対象ラスター レイヤーのセルの配置に一致するように、出力の範囲を調整します。
- セル サイズ - 出力レイヤーで使用するセル サイズ。
- リサンプリング方法 - ピクセル値の内挿に使用する方法。
- 並列処理ファクター - ラスター処理 CPU または GPU インスタンスを制御します。
類似のツールとラスター関数
多次元異常の生成を使用し、経時的な変数の異常値を計算します。 その他のツールは、類似した問題を解決するのに効果的です。
Map Viewer Classic 解析ツールとラスター関数
トレンド ラスターを使用した予測ツールでは、トレンド ラスターの生成ツールの出力を使用し、将来の日付または日付範囲の変数値を予測します。
ArcGIS Pro 解析ツールとラスター関数
[トレンド ラスターの生成 (Generate Trend Raster)] ジオプロセシング ツールは、Image Analyst ツールボックスで使用できます。
トレンドの生成はラスター関数としても使用できます。
ArcGIS Enterprise 開発者向けリソース
ArcGIS REST API で作業を行っている場合は、Generate Trend Raster タスクを使用します。
ArcGIS API for Python で作業を行っている場合は、arcgis.raster.analytics モジュールの generate_trend_raster
を使用します。