Image Server에서 이용 가능
표면 매개변수 도구는 경사면 방향, 경사, 곡률과 같은 래스터 표면의 매개변수를 결정합니다.
경사면 방향
경사면 방향 표면 매개변수는 내리막 경사가 향하는 방향을 식별합니다. 결과 래스터의 각 셀 값은 해당 위치에서 표면이 향하는 나침반 방향을 나타냅니다. 0(정북 방향)에서 360(다시 정북 방향)까지 시계방향으로 측정되며, 한 바퀴 돌아 다시 원점으로 돌아옵니다. 내리막 방향이 없는 평평한 영역의 값은 -1입니다.

다음 이미지는 입력 고도 데이터셋 및 결과 경사면 방향 래스터를 보여줍니다.

경사면 방향 응용 사례
경사면 방향 표면 매개변수 유형을 사용하여 다음을 수행할 수 있습니다.
- 스키 코스에 가장 적합한 경사를 찾는 것의 일환으로, 산에서 북향 경사를 모두 찾습니다.
- 각 부지의 생명 다양성을 판단하기 위한 연구의 일환으로, 한 영역에서 각 위치에 대한 태양 조도를 계산합니다.
- 범람으로 인해 가장 먼저 영향을 받을 가능성이 있는 주거지 위치를 파악하기 위한 연구의 일환으로, 산악 지역의 모든 남쪽 경사를 찾아 눈이 먼저 녹을 가능성이 있는 위치를 식별합니다.
측지 경사면 방향 계산
위치의 측지 경사면 방향은 타원체 표면에 접선하는 평면(다음 그림의 파란색 평면)에서 측정할 때 북쪽에 대한 내리막 표면의 각도 방향 α입니다.

각 위치에서 경사면 방향을 계산하기 위해 최소 제곱법(LSM)을 사용하여 인접 영역 셀에 이차 또는 사차 표면이 적용됩니다. 표면 법선은 해당 표면의 셀 위치에서 계산됩니다. 같은 위치에서 타원체 표면의 접평면에 수직인 타원체 법선도 계산됩니다.
타원체 표면의 접평면이 참조 평면으로 간주되므로, 표면 법선이 해당 평면에 투영됩니다. 마지막으로 측지 경사면 방향은 북쪽과 표면 법선의 투영 간에 시계방향으로 각도 α를 측정하여 계산됩니다(위 설명 참조).
경사
경사 표면 매개변수는 래스터 표면에 있는 각 셀의 가파른 정도입니다. 경사 값이 낮을수록 터레인이 평평하고, 경사 값이 높을수록 터레인이 가파릅니다.
결과 경사 래스터는 도 또는 백분율(상승률)의 두 단위 중 하나로 계산할 수 있습니다. 상승률은 y축 증가량을 x축 증가량으로 나눈 값에 100을 곱한 것으로 생각하면 됩니다. 아래의 삼각형 B를 살펴보세요. 각도가 45도인 경우 y축 증가량은 x축 증가량과 같으며 상승률은 100%입니다. 삼각형 C에서와 같이 경사 각도가 수직(90도)에 가까워지면 상승률이 무한대에 가까워지기 시작합니다.

경사는 다음 이미지에 나와 있는 것과 같이 고도 데이터셋에서 가장 자주 실행됩니다. 경사가 가파를수록 결과 경사 래스터에 더 어두운 갈색으로 음영 처리됩니다.

이 도구를 인구 등 다른 유형의 연속 데이터와 함께 사용하여 값의 급격한 변화를 식별할 수도 있습니다.
측지 경사 계산
측지 경사는 지형 표면과 타원체 표면 간에 형성된 각도입니다. 타원체 표면에 평행한 모든 표면의 경사는 0입니다. 각 위치에서 경사를 계산하기 위해 최소 제곱법(LSM)을 사용하여 인접 영역 셀에 이차 또는 사차 표면이 적용됩니다. 표면 법선은 해당 표면의 셀 위치에서 계산됩니다. 같은 위치에서 타원체 표면의 접평면에 수직인 타원체 법선도 계산됩니다. 경사는 타원체 법선 및 지형 표면 법선 간의 각도에서 도 단위로 계산됩니다. 이 각도는 지형 표면과 타원체 표면 간의 각도와 동일합니다.
표면 곡률의 오버뷰
곡률은 표면을 통과하는 평면의 교차로 생성되어, 일반적으로 표면의 라인을 따라 표면의 모양을 설명하는 데 사용되는 표면 매개변수 유형의 모음입니다. 개념적으로 측지 곡률은 모든 포인트에서 곡선의 모양에 가장 잘 맞는 원(접촉원)을 찾습니다. 곡률은 해당 원 반경의 역수(1/r)입니다. 직선에 가까울수록 큰 원에 가장 잘 맞춰져 더 작은 곡률을 생성하며 곡선이 더 많이 휘어졌을수록 보다 작은 원에 가장 잘 맞춰져 더 큰 곡률을 생성합니다(Crane, 2018).

수평 사면(일반적인 경사 라인) 곡률
수평 사면(일반적인 경사 라인) 곡률 표면 매개변수는 경사 라인을 따라 일반적인 지오메트리 곡률을 측정합니다. 이는 수평 사면 곡률이라고도 하며, 표면을 통과하는 수직(수평 사면) 단면의 모양으로 시각화할 수 있습니다. 아래 그림과 같이 수직 평면은 주황색 라인을 따라 표면을 통과하여 절단하고, 절단되면 표면의 단면 수평 사면으로 나타납니다.

해당 평면은 두 개의 벡터로 정의됩니다. 노란색 화살표는 기울기 방향 또는 경사 라인 화살표를 나타내고 빨간색 화살표는 표면 법선을 나타냅니다. 이러한 빨간색과 노란색 벡터의 조합이 주황색 평면 및 표면과 교차하는 주황색 라인을 정의합니다. 수평 사면 곡률은 주황색 평면의 주황색 라인(일반적인 경사 라인)을 따라 계산됩니다.
여기서는 Minár et al(2020)의 일반적인 경사 라인 용어를 사용하여 모호성 및 이전 용어와의 혼동을 최소화했습니다.
이 곡률은 일반적으로 중력에 의한 표면 아래 흐름의 가속 및 감속을 특성화하는 데 적용됩니다. 물은 빠르게 흐를수록 더 많은 양의 물질을 운반하고 이동할 수 있으며, 가속 영역은 침식 영역이 되고 감속 영역은 퇴적 영역이 됩니다.
아래 이미지에 원뿔 능선 주변의 높은 볼록 수평 사면(일반적인 경사 라인) 곡률 영역이 보라색으로 표시되어 있습니다. 원뿔 밑면의 높은 오목 수평 사면(일반적인 경사 라인) 곡률 영역은 주황색으로 표시되어 있습니다. 곡률 값이 작은 영역은 투명합니다.

이 곡률의 결과는 이전 곡률 도구의 수평 사면 곡률 결과와는 다릅니다. 수평 사면 곡률과 수평 사면(경사 라인) 곡률 간의 차이는 나중에 설명합니다.
수평 사면(일반적인 경사 라인) 곡률을 계산하는 공식은 다음과 같습니다.

- 여기서 각 항목 정보는 다음과 같습니다.
KP = 수평 사면(일반적인 경사 라인) 곡률
z = f(x,y)
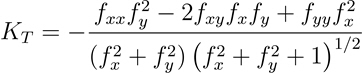
접선(일반적인 등고선) 곡률
접선(일반적인 등고선) 곡률 표면 매개변수는 경사 라인에 수직이고 등고선 라인에 접선하는 일반적인 지오메트리 곡률을 측정합니다. 이는 등고선 라인에 접선하는 곡률을 측정하므로 접선 곡률이라고 합니다. 이 곡률은 법선 윤곽선(Minár et al., 2020)이라고 하며, 이는 곡률이 계산되는 보라색 라인을 생성하는 보라색 절단면이 파란색 윤곽선 벡터 및 빨간색 표면 법선 벡터로 정의되기 때문입니다.

접선(일반적인 등고선) 곡률은 일반적으로 표면 전반에서 흐름의 지형 수렴이나 발산을 특성화하는 데 적용됩니다.
아래 이미지에서 원뿔 능선 주변의 높은 볼록 접선(일반적인 등고선) 곡률 영역 및 사용자를 향하는 능선은 파란색으로 표시됩니다. 이는 발산 흐름 영역입니다. 원뿔 내부의 높은 오목 접선 영역(일반적인 등고선) 곡률 영역은 수렴 흐름을 빨간색으로 표시합니다. 곡률 값이 작은 영역은 투명합니다.

접선(일반적인 등고선) 곡률을 계산하는 공식은 다음과 같습니다.

- 여기서 각 항목 정보는 다음과 같습니다.
KT = 접선(일반적인 등고선) 곡률
z = f(x,y)
수직 사면(투영된 등고선) 곡률
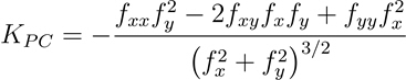
수직 사면(투영된 등고선) 곡률 표면 매개변수는 등고선을 따라 곡률을 측정합니다. 이는 때때로 등고선 곡률 및 수평 곡률이라고도 합니다. 투영된 등고선 곡률은 수평 면이 표면과 교차하는 파란색 등고선 라인을 따라 측정됩니다.

수직 사면(투영된 등고선) 곡률을 계산하는 공식은 다음과 같습니다.

- 여기서 각 항목 정보는 다음과 같습니다.
KPC = 수직 사면(투영된 등고선) 곡률
z = f(x,y)
아래 이미지는 보라색 라인을 따라 측정된 접선(일반적인 등고선) 곡률과 파란색 등고선 라인을 따라 측정된 수직 사면(투영된 등고선) 곡률 간의 차이를 보여줍니다.

등고선 측지 비틀림
등고선 측지 비틀림 표면 매개변수는 등고선 라인을 따라 경사 각도의 변화율을 측정합니다.
등고선 측지 비틀림을 계산하는 공식은 다음과 같습니다.

- 여기서 각 항목 정보는 다음과 같습니다.
τ = 등고선 측지 비틀림
z = f(x,y)
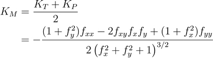
평균 곡률
평균 곡률 표면 매개변수는 표면의 전체 곡률을 측정합니다. 최소 및 최대 곡률의 평균으로 계산됩니다. 또한 수평 사면(일반적인 경사 라인) 및 접선(일반적인 등고선) 곡률의 평균과 수학적으로 동등합니다. 아래 이미지에는 수평 사면(일반적인 경사 라인) 절단면(주황색) 및 접선(일반적인 등고선) 절단면(보라색)이 나와 있습니다.

수평 사면(일반적인 경사 라인) 및 접선(일반적인 등고선) 곡률은 각각 특정 방향의 볼록성 및 오목성을 측정합니다. 반면, 평균 곡률은 방향이나 중력의 영향과 관계없이 표면의 고유한 볼록성 또는 오목성을 나타냅니다. 표면이 한 방향으로는 오목하고 다른 방향으로는 볼록할 수 있으므로, 해당 부호(양 또는 음)는 극한 값을 제외하고는 볼록성 또는 오목성의 결정적인 지표가 아닙니다. 높은 양수 값은 최대 노출 영역을 나타내고 높은 음수 값은 최대 누적 영역을 나타냅니다(Minár et al., 2020).
평균 곡률을 계산하는 공식은 다음과 같습니다.

- 여기서 각 항목 정보는 다음과 같습니다.
KM = 평균 곡률
z = f(x,y)
가우시안 곡률
가우시안 곡률 표면 매개변수는 표면의 일반적인 곡률을 측정합니다. 이는 최소 곡률과 최대 곡률의 곱으로 계산되며 음수 값 및 양수 값을 가질 수 있습니다. 양수 값은 표면이 해당 셀에서 볼록함을 나타내고 음수 값은 오목함을 나타냅니다. 값이 0이면 표면이 평평함을 나타냅니다.
가우시안 곡률을 계산하는 공식은 다음과 같습니다.

- 여기서 각 항목 정보는 다음과 같습니다.
KG = 가우시안 곡률
z = f(x,y)
카소라티 곡률
카소라티 곡률 표면 매개변수는 표면의 일반적인 곡률을 측정합니다. 0 또는 기타 양수일 수 있습니다. 높은 양수 값은 여러 방향으로 급격하게 구부러진 영역을 나타냅니다.
카소라티 곡률을 계산하는 공식은 다음과 같습니다.

- 여기서 각 항목 정보는 다음과 같습니다.
KC = 카소라티 곡률
z = f(x,y)
기본 및 조합 곡률 유형
접선(일반적인 등고선) 곡률, 수평 사면(일반적인 경사 라인) 곡률, 등고선 측지 비틀림은 기본 곡률 유형으로 간주됩니다. 다른 곡률은 이러한 세 가지 곡률의 조합으로 표현할 수 있기 때문입니다. Minár et al(2020)의 용어를 채택해, 이러한 세 가지 곡률을 기본 트리오라고 하겠습니다.
평균 곡률, 가우시안 곡률, 카소라티 곡률에 대해 위에서 제공된 식 외에도, 기본 트리오의 조합으로 이러한 곡률을 계산할 수도 있습니다.
평균 곡률을 계산하는 공식은 다음과 같습니다.

- 여기서 각 항목 정보는 다음과 같습니다.
KM = 평균 곡률
KT = 접선(일반적인 등고선) 곡률
KP = 수평 사면(일반적인 경사 라인) 곡률
z = f(x,y)
가우시안 곡률을 계산하는 공식은 다음과 같습니다.

- 여기서 각 항목 정보는 다음과 같습니다.
KG = 가우시안 곡률
KT = 접선(일반적인 등고선) 곡률
KP = 수평 사면(일반적인 경사 라인) 곡률
τ = 등고선 측지 비틀림
z = f(x,y)
카소라티 곡률을 계산하는 공식은 다음과 같습니다.

- 여기서 각 항목 정보는 다음과 같습니다.
KC = 카소라티 곡률
KM = 평균 곡률
KG = 가우시안 곡률
z = f(x,y)
레거시 곡률 도구 알고리즘과의 비교
표면 매개변수 도구는 곡률 도구와 다른 곡률 알고리즘을 사용하며, 계산에서는 측지 수학을 사용합니다. 따라서 이 두 도구 간의 결과를 직접 비교할 수는 없습니다. 표면 매개변수 곡률 유형인 수평 사면(일반적인 경사 라인) 및 접선(일반적인 등고선)은 실제 지오메트리 곡률입니다(Minár et al. 2020). 표면 매개변수 도구의 평균 곡률은 해당 포인트에서의 최소 곡률과 최대 곡률의 평균입니다. 곡률 도구의 수평 사면 및 평면도 유형은 방향 파생물로, 위치에서 표면의 기하학적 곡률을 실제로 측정하지는 않습니다(Zevenbergen and Thorne 1987). 표면 매개변수 도구에서 수평 사면(일반적인 경사 라인)의 부호(양 또는 음)는 곡률 도구의 수평 사면 곡률과 반대입니다. 표면 매개변수 도구는 측지 공간에서 계산하며 곡률 도구는 평면 좌표 및 수학을 사용합니다. 표면 매개변수 도구는 이차 또는 사차 표면에 맞출 수 있으며 곡률 도구는 이차 표면만 지원합니다.
인접 영역 거리
인접 영역 거리 값은 현재 프로세싱 셀의 중심으로부터 직교 인접 피처 중심까지의 맵 거리입니다. 인접 영역 거리가 작을수록 작은 경관 피처의 특성인 경관의 지역적 변동성을 더 많이 취득합니다. 해상도 고도 데이터가 높을수록 큰 인접 영역 거리가 더 적합할 수 있습니다. 이는 관심 지형 프로세스를 반영하지 않는 데이터의 미세한 축척 오류(노이즈) 때문이거나, 해당 관심 지형이 더 먼 거리에서 더 잘 인식되기 때문입니다.
아래 예시에서는 눈에 띄는 노이즈 및 스트라이핑 아티팩트가 수평 사면(일반적인 경사 라인) 곡률 결과에 표시된 5미터 해상도 수치 표면 모델(DSM)을 사용했습니다. 첫 번째 이미지는 기본 3x3 창 또는 5m 인접 영역 거리를 사용했고, 두 번째 이미지는 9x 9셀 창 또는 20m 인접 영역 거리를 사용했으며, 세 번째 이미지는 15x15 셀 창 또는 35m 인접 영역 거리를 사용했습니다. 이 예시에서는 인접 영역 거리가 증가함에 따라 경관의 가장 중요하거나 주요한 피처가 더 명확해지고 노이즈 및 스트라이핑 아티팩트가 눈에 덜 띕니다. 인접 영역 거리가 클수록 노이즈는 항상 줄어들지만, 가장 적합한 거리는 데이터의 셀 크기 및 응용 사례에 중요한 지형 피처의 크기에 따라 달라집니다.

가장 작은 인접 영역 거리는 입력 래스터의 셀 크기와 동일합니다. 가장 큰 인접 영역 거리는 셀 크기의 7배와 동일하므로 15x15 셀 창이 됩니다. 지정 거리가 셀 크기의 7배보다 큰 경우 항상 15x15 셀 창을 사용합니다.

셀 크기의 홀수 간격이 발생하지 않는 인접 영역 거리가 지정된 경우, 셀 크기의 다음 간격으로 반올림됩니다. 예를 들어 위의 설명에서 인접 영역 거리가 25m로 지정된 경우, 셀 크기의 다음 간격인 30미터(셀 크기의 3배)로 반올림하여 7x7 셀 창을 사용합니다.
고도 데이터가 관심 지형을 분석하는 데 필요한 해상도보다 더 미세한 공간 해상도인 경우, 인접 영역 창 옵션의 대안은 데이터를 응용 사례에 더 적합한 보다 큰 셀 크기로 리샘플링하거나 집계하는 것입니다.
표면 매개변수 계산은 셀 크기 및 인접 영역 거리에 민감합니다. Wilson(2018) 및 Minár et al(2020)은 이 주제에 대한 수많은 연구를 효과적으로 요약하여 제공합니다.
적응형 인접 영역
선택한 경우, 적응형 인접 영역 사용 매개변수가 표면 매개변수를 계산하는 데 사용되는 인접 영역 거리(창 크기 또는 영역)를 변경하여 경관의 관련 변동을 더 효과적으로 취득합니다. 이 도구는 인접 영역 내의 모든 셀 값을 기반으로 평균 고도(DEV)에서 지역적 편차를 계산하여(Wilson and Gallant, 2000) 적합한 창 크기를 자동으로 결정합니다. 표면 변동성을 최소화하면서 최대한 큰 창 크기를 사용하려고 시도합니다(James et al., 2014). 사용된 가장 큰 창 크기는 인접 영역 거리 매개변수에 지정됩니다.
표면 매개변수를 고정된 인접 영역으로 계산하는 경우 인접 영역 내의 모든 셀 값이 사용됩니다. 표면 매개변수를 적응형 인접 영역으로 계산하는 경우 인접 영역의 9개 셀(외부 직교 및 대각선 셀, 중앙 프로세싱 셀)만 사용됩니다.

적응형 인접 영역은 고해상도 DEM에서 작은 골짜기나 하도가 있는 경사진 대형 언덕과 같이 크기가 매우 다양한 터레인 피처가 있는 경관을 분석하는 경우 특히 유용합니다. 이러한 경우 개울 골짜기에는 1미터와 같은 작은 인접 영역 거리를 사용하고, 언덕에는 10 또는 15미터의 보다 큰 인접 영역 거리를 사용할 수 있습니다.
아래 그림에서 작은 인접 영역은 개울 및 절벽 가장자리에 적합하고, 보다 큰 인접 영역은 언덕에서 평원으로 전환되는 부분과 거의 평평한 균질 고원에 적합합니다.

인접 영역 거리의 엣지 효과
계산에 사용할 수 있는 정보가 충분하지 않은 경우 결과의 외부 엣지 주변 셀에 NoData가 할당됩니다.
적응형 인접 영역 옵션을 사용하는 경우 결과 래스터의 범위는 외부 엣지 주변에서 셀 하나만큼 축소됩니다.
입력 셀 크기보다 큰 고정된 인접 영역 거리를 사용하는 경우 결과 래스터 범위는 사용된 인접 영역 거리에 따라 감소합니다. 감소량은 (픽셀 단위 창 너비 - 1)/2로 계산할 수 있습니다.
예를 들어 인접 영역 거리가 7x7 셀 창을 사용한 거리인 경우 결과 래스터는 외부 엣지 주변에서 셀 3개만큼 축소됩니다.
이차 및 사차
인접 영역 창에 맞출 수 있는 로컬 표면으로는 이차 및 사차의 두 가지 유형이 있습니다. 기본값은 이차이며, 대부분의 데이터 및 응용 사례에 권장됩니다.
이차 표면은 포인트의 최소 제곱법 조정이며 모든 포인트를 정확히 통과하지는 않습니다. 이차 표면을 사용하면 모든 포인트를 정확히 통과하지 않으므로 고해상도 라이다 표면과 같은 노이즈 표면 데이터의 영향을 최소화하는 효과가 있습니다. 이는 모든 표면 매개변수에 대해 보다 대표성이 높은 결과를 생성하며, 곡률을 계산하는 경우 특히 중요합니다.
셀 크기보다 큰 인접 영역 크기를 지정하는 경우와 적응형 인접 영역 옵션을 사용하는 경우에는 이차 표면을 사용해야 합니다.
이차 표면은 인접 영역 셀의 데이터를 정확히 맞춥니다. 이 옵션은 임의 노이즈가 없는 매우 정확한 입력 표면에 사용하기 적합합니다. 인접 영역 거리가 입력 래스터 셀 크기보다 큰 경우 사차 표면 유형의 정확도 관련 장점이 손실되므로, 인접 영역 거리를 기본값(셀 크기와 동일)으로 유지해야 합니다.
측지 좌표 변환
표면 매개변수 도구는 지구의 모양을 타원체로 간주하여 ECEF(Earth Centered, Earth Fixed) 좌표계라고도 하는 지심 3D 좌표계에서 계산을 수행합니다. 계산 결과는 데이터셋이 투영되는 방식에 영향을 받지 않습니다. 입력 래스터가 공간 기준 체계에 정의된 경우 입력 래스터의 z 단위를 사용합니다. 입력의 공간 기준 체계가 z 단위를 정의하지 않는 경우 z 단위 매개변수를 사용해야 합니다.
ECEF 좌표계는 지구 중심을 원점으로 하는 반시계방향 3D 직교 좌표계로 모든 위치가 X, Y, Z 좌표로 표시됩니다. 지심 좌표로 표현된 대상 위치 T의 예시는 다음 그림을 참고하세요.

표면 래스터는 입력 좌표계에서 3D 지심 좌표계로 변환됩니다.
측지 계산은 해당 측지 좌표(위도 φ, 경도 λ, 높이 h)를 기준으로 계산된 X, Y, Z 좌표를 사용합니다. 입력 표면 래스터의 좌표계가 투영 좌표계(PCS)인 경우, 래스터는 먼저 각 위치에 측지 좌표가 있는 지리 좌표계(GCS)로 다시 투영됩니다. 그런 다음 ECEF 좌표계로 변환됩니다. 높이 h(z 값)는 타원체 표면을 참조하는 타원체 높이입니다. 다음 설명 그래프를 참고하세요.

측지 좌표(위도 φ, 경도 λ, 높이 h)에서 ECEF 좌표로 변환하려면 다음 공식을 사용합니다.
X = (N(φ) + h) * cos(φ) * cos(λ)Y = (N(φ) + h) * cos(φ) * sin(λ)Z = (b2/a2 * N(φ) + h) * sin(φ)- 여기서 각 항목 정보는 다음과 같습니다.
N(φ) = a2/√( a2 * cos(φ)2 + b2 * sin(φ)2)φ = 위도
λ = 경도
h = 타원체 높이
a = 타원체의 장축
b = 타원체의 단축
위 공식에서 타원체 높이 h는 미터 단위입니다. 입력 래스터의 z 단위가 다른 단위로 지정된 경우 내부적으로 미터로 변환됩니다.
권장 문헌
표면 분석 방법 및 해당 응용 사례를 심층적으로 이해하려면 이해를 위해 다음 참고문헌을 확인하세요. 또한 Hengl and Reuter(2008)와 Wilson(2018)은 표면 분석 방법은 물론 기타 수많은 터레인 분석 기술 및 해당 응용 사례에 대한 포괄적인 목록을 제공합니다. Minár et al(2020)은 표면 곡률에 대한 이전 작업의 포괄적인 요약 및 비교를 명확하게, 그리고 여러 유형의 곡률에 대한 정의를 통해 제공합니다.
참조
B. Hofmann-Wellenhof, H. Lichtenegger and J. Collins, 2001. GPS - theory and practice. Section 10.2.1. p. 282.
Burrough, P. A., and McDonell, R. A., 1998. Principles of Geographical Information Systems (Oxford University Press, New York), 190 pp.
Crane K., 2018. Discrete Differential Geometry: An Applied Introduction. Notices of the AMS, Communication. https://www.cs.cmu.edu/~kmcrane/Projects/DDG/paper.pdf
David Eberly 1999. Least Squares Fitting of Data (Geometric Tools, LLC), pp. 3.
E.J.Krakiwsky, and D.E.Wells, 1971. Coordinate Systems In Geodesy (GEODESY AND GEOMATICS ENGINEERING, UNB), LECTURE NOTES, No16, 1971, pp. 18-38
Hengl T. and Reuter H. 2008. Geomorphometry Concepts, Software, Applications. Elsevier.
James D.E., M.D. Tomer, S.A. Porter. 2014. Trans-scalar landform segmentation from high-resolution digital elevation models. Poster presented at: ESRI Annual Users Conference; July 2014; San Diego, CA.
Lancaster, P. and Šalkauskas, K. Curve and Surface Fitting: An Introduction. London: Academic Press, 1986.
Marcin Ligas, and Piotr Banasik, 2011. Conversion between Cartesian and geodetic coordinates on a rotational ellipsoid by solving a system of nonlinear equations (GEODESY AND CARTOGRAPHY), Vol. 60, No 2, 2011, pp. 145-159
Minár, J., Evans, I. S., & Jenčo, M. (2020). A comprehensive system of definitions of land surface (topographic) curvatures, with implications for their application in geoscience modelling and prediction. Earth-Science Reviews, 103414. https://doi.org/10.1016/j.earscirev.2020.103414
Wilson J.P and Gallant, J.C. (Eds.) 2000. Terrain Analysis: Principles and Applications. John Wiley & Sons, Inc.
Wilson J.P 2018. Environmental Application of Digital Terrain Modeling. John-Blackwell, Inc.
Zevenbergen, L. W., and C. R. Thorne. 1987. Quantitative Analysis of Land Surface Topography. Earth Surface Processes and Landforms 12: 47-56.