Dostępne na serwerze Image Server
Narzędzie Parametry powierzchni określa parametry powierzchni rastra takie jak ekspozycja, spadek i krzywizna.
Ekspozycja
Parametr powierzchni Ekspozycja identyfikuje kierunek, w jakim skierowany jest spadek terenu. Wartość każdej komórki w rastrze wynikowym reprezentuje wskazywany przez kompas kierunek, w jakim skierowana jest powierzchnia w danej lokalizacji. Jest on mierzony zgodnie z ruchem wskazówek zegara w stopniach w zakresie od 0 (północ) do 360 (ponownie północ), przemierzając pełny okrąg. Do płaskich obszarów, które nie mają kierunku w dół zbocza, przypisywana jest wartość -1.

Na poniższych ilustracjach przedstawiono wejściowy zestaw danych wysokościowych oraz wynikowy raster ekspozycji.

Zastosowania ekspozycji
Typ parametru powierzchni Ekspozycja umożliwia wykonywanie następujących operacji:
- Znajdowanie wszystkich stoków góry skierowanych na północ w ramach wyszukiwania najlepszych stoków na trasy narciarskie.
- Obliczanie oświetlenia słonecznego w każdej lokalizacji regionu w ramach badania różnorodności życia w poszczególnych siedliskach.
- Znajdowanie wszystkich południowych stoków w regionie górskim w celu identyfikacji lokalizacji, w których może rozpocząć się topnienie śniegu, w ramach badania obszarów zamieszkanych, do których w pierwszej kolejności może dotrzeć spływająca woda.
Obliczenia ekspozycji geodezyjnej
Ekspozycja geodezyjna w danej lokalizacji to kierunek kątowy α powierzchni spadku względem północy mierzony na płaszczyźnie stycznej do powierzchni elipsoidy (niebieska płaszczyzna na poniższej ilustracji).

W celu obliczenia ekspozycji w każdej lokalizacji do komórek w sąsiedztwie dopasowywana jest powierzchnia kwadratowa lub dwukwadratowa przy użyciu metody najmniejszych kwadratów. W lokalizacji komórki na tej powierzchni obliczana jest normalna do powierzchni. W tej samej lokalizacji obliczana jest także normalna do elipsoidy prostopadła do płaszczyzny stycznej do powierzchni elipsoidy.
Ponieważ płaszczyzna styczna do powierzchni elipsoidy jest uważana za płaszczyznę odniesienia, na płaszczyznę tę rzutowana jest normalna do powierzchni. Na koniec ekspozycja geodezyjna jest obliczana przez pomiar kąta α między północą a rzutem normalnej do powierzchni w kierunku zgodnym z ruchem wskazówek zegara (patrz ilustracja powyżej).
Spadki
Parametr powierzchni Spadek określa nachylenie w każdej komórce powierzchni rastra. Mniejsze wartości spadku oznaczają teren bardziej płaski, a wyższe — teren bardziej stromy.
Wynikowy raster spadku można obliczać w dowolnych z dwóch jednostek: w stopniach lub w procentach (wzrost procentowy). Wzrost procentowy łatwiej zrozumieć, jeśli rozpatrzy się go jako różnicę wysokości podzieloną przez odległość w poziomie i pomnożoną przez 100. Rozważmy trójkąt B poniżej. Gdy kąt wynosi 45 stopni, różnica wysokości jest równa odległości w poziomie, a wzrost procentowy to 100%. Gdy kąt spadku zbliża się do pionu (90 stopni), jak w trójkącie C, wzrost procentowy zaczyna zbliżać się do nieskończoności.

Spadek jest najczęściej obliczany na podstawie zestawu danych wysokościowych, jak na poniższych ilustracjach. W wynikowym rastrze spadku bardziej strome zbocza mają ciemniejszy odcień koloru brązowego.

Narzędzia tego można także używać z innymi typami danych ciągłych, takimi jak wielkość populacji, w celu identyfikowania nagłych zmian wartości.
Obliczenia spadku geodezyjnego
Spadek geodezyjny to kąt między powierzchnią topograficzną a powierzchnią elipsoidy. Każda płaszczyzna równoległa do płaszczyzny elipsoidy ma spadek równy 0. W celu obliczenia spadku w każdej lokalizacji do komórek w sąsiedztwie dopasowywana jest powierzchnia kwadratowa lub dwukwadratowa przy użyciu metody najmniejszych kwadratów. W lokalizacji komórki na tej powierzchni obliczana jest normalna do powierzchni. W tej samej lokalizacji obliczana jest także normalna do elipsoidy prostopadła do płaszczyzny stycznej do powierzchni elipsoidy. Spadek w stopniach jest obliczany na podstawie kąta między normalną do elipsoidy a normalną do powierzchni topograficznej. Ten kąt jest taki sam jak kąt między powierzchnią topograficzną, a powierzchnią elipsoidy.
Informacje ogólne o krzywiźnie powierzchni
Krzywizna to zbiór typów parametrów powierzchni używanych do opisu kształtu powierzchni, zwykle wzdłuż pewnej linii na powierzchni, utworzonych w wyniku przecięcia powierzchni płaszczyzną. Mówiąc ogólnie, określenie krzywizny geometrycznej polega na znalezieniu najlepiej pasującego okręgu (okręgu stycznego) w celu przybliżenia kształtu krzywej w dowolnym punkcie. Krzywizna to odwrotność promienia tego okręgu (1/r). Do linii bardziej wyprostowanej najlepiej będzie pasować większy okrąg, co oznacza mniejszą krzywiznę, a do linii bardziej zakrzywionej najlepiej będzie pasować mniejszy okrąg, co oznacza większą krzywiznę (Crane, 2018).

Krzywizna profilu (normalnej linii spadku)
Parametr powierzchni Krzywizna profilu (normalnej linii spadku) mierzy geometryczną krzywiznę normalną wzdłuż linii spadku. Czasem używana jest nazwa krzywizna profilu. Parametr ten można zwizualizować jako kształt pionowego przekroju (profilu) przez powierzchnię. Na ilustracji poniżej pionowa płaszczyzna przecina powierzchnię wzdłuż pomarańczowej linii — po usunięciu odciętej części widoczny byłby profil przekroju powierzchni.

Ta płaszczyzna jest zdefiniowana przez dwa wektory: żółta strzałka pokazująca kierunek gradientu lub strzałka linii spadku oraz czerwona strzałka wskazująca normalną do powierzchni. To właśnie kombinacja wektorów czerwonego i żółtego definiuje pomarańczową płaszczyznę oraz pomarańczową linię jej przecięcia z powierzchnią. Krzywiznę profilu oblicza się wzdłuż pomarańczowej linii (normalnej linii spadku) na pomarańczowej płaszczyźnie.
Terminologia normalnej linii spadku zaproponowana przez Minára i in. (2020) jest używana tutaj w celu zmniejszenia niejednoznaczności i uniknięcia niezgodności z wcześniejszą terminologią.
Krzywizna ta jest zwykle stosowana do charakteryzowania przyspieszenia i spowolnienia przepływu po powierzchni powodowanego przez siłę grawitacji. Przy wyższej prędkości woda może nieść i przesuwać większe ilości materiału, obszary przyspieszenia stają się obszarami erozji, a obszary spowolnienia stają się obszarami osadzania.
Na ilustracji poniżej obszary o dużej wypukłej krzywiźnie profilu (normalnej linii spadku) wokół grzbietu stożka mają kolor fioletowy. Obszary o dużej wklęsłej krzywiźnie profilu (normalnej linii spadku) u podstawy stożka mają kolor pomarańczowy. Obszary o małych wartościach krzywizny są przezroczyste.

Ta wynikowa krzywizna różni się od wynikowej krzywizny Profilu uzyskanej z użyciem wcześniejszego narzędzia Krzywizna. Wyjaśnienie różnicy między krzywizną Profilu a krzywizną Profilu (linii spadku) zostanie podane dalej.
Krzywizna profilu (normalnej linii spadku) jest obliczana na podstawie następującego wzoru:

- Gdzie:
KP = krzywizna profilu (normalnej linii spadku)
z = f(x,y)
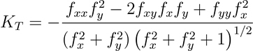
Krzywizna styczna (normalnej warstwicy)
Parametr powierzchni Krzywizna styczna (normalnej warstwicy) mierzy geometryczną krzywiznę normalną prostopadłą do linii spadku, styczną do warstwicy. Jest nazywana krzywizną styczną, ponieważ mierzy krzywiznę styczną do warstwicy. Jest opisywana jako normalna warstwica (Minár i in., 2020), ponieważ fioletowa płaszczyzna tnąca tworząca fioletową linię, wzdłuż której obliczana jest krzywizna, jest zdefiniowana przez niebieski wektor warstwicy i czerwony wektor normalnej do powierzchni.

Krzywizna styczna (normalnej warstwicy) jest zwykle stosowana w celu scharakteryzowania topograficznej zbieżności i rozbieżności przepływu po powierzchni.
Na ilustracji poniżej obszary o dużej wypukłej krzywiźnie stycznej (normalnej warstwicy) wokół grzbietu stożka i grzbietu skierowanego w stronę osoby patrzącej mają kolor niebieski. Są to obszary przepływu rozbieżnego. Obszary o dużej wklęsłej krzywiźnie stycznej (normalnej warstwicy) wewnątrz stożka pokazują przepływ zbieżny w kolorze czerwonym. Obszary o małych wartościach krzywizny są przezroczyste.

Krzywizna styczna (normalnej warstwicy) jest obliczana na podstawie następującego wzoru:

- Gdzie:
KT = krzywizna styczna (normalnej warstwicy)
z = f(x,y)
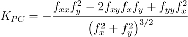
Krzywizna planu (odwzorowanej warstwicy)
Parametr powierzchni Krzywizna planu (odwzorowanej warstwicy) mierzy krzywiznę wzdłuż warstwic. Jest czasem nazywany krzywizną warstwicy lub krzywizną poziomą. Krzywizna odwzorowanej warstwicy jest mierzona wzdłuż warstwicy w kolorze niebieskim, gdzie płaszczyzna pozioma przecina powierzchnię.

Krzywizna planu (odwzorowanej warstwicy) jest obliczana na podstawie następującego wzoru:

- Gdzie:
KPC = krzywizna planu (odwzorowanej warstwicy)
z = f(x,y)
Na poniższej ilustracji przedstawiono różnicę między krzywizną styczną (normalnej warstwicy) mierzoną wzdłuż fioletowej linii a krzywizną planu (odwzorowanej warstwicy) mierzoną wzdłuż niebieskiej warstwicy.

Skręcenie geodezyjne warstwicy
Parametr powierzchni Skręcenie geodezyjne warstwicy mierzy szybkość zmian kąta spadku wzdłuż warstwic.
Skręcenie geodezyjne warstwicy jest obliczane na podstawie następującego wzoru:

- Gdzie:
τ = skręcenie geodezyjne warstwicy
z = f(x,y)
Krzywizna średnia
Parametr powierzchni Krzywizna średnia mierzy krzywiznę całkowitą powierzchni. Jest obliczana jako wartość średnia krzywizny minimalnej i maksymalnej. Jest ona również matematycznie równoważna średniej krzywizn profilu (normalnej linii spadku) i stycznej (normalnej warstwicy). Na poniższej ilustracji przedstawione są płaszczyzna cięcia profilu (normalnej linii spadku) w kolorze pomarańczowym oraz płaszczyzna cięcia stycznej (normalnej warstwicy) w kolorze fioletowym.

Krzywizna profilu (normalnej linii spadku) i styczna (normalnej warstwicy) mierzą wypukłość i wklęsłość w określonym kierunku, natomiast krzywizna średnia opisuje wewnętrzną wypukłość lub wklęsłość powierzchni, niezależnie od kierunku i wpływu grawitacji. Jej znak (plus lub minus) nie jest ostatecznym wskaźnikiem wypukłości lub wklęsłości z wyjątkiem wartości skrajnych, ponieważ powierzchnia może być wklęsła w jednym kierunku, a wypukła w innym. Duże wartości dodatnie wskazują obszary o maksymalnej denudacji, a duże wartości ujemne — obszary o maksymalnej akumulacji (Minár et al., 2020).
Krzywizna średnia jest obliczana na podstawie następującego wzoru:

- Gdzie:
KM = krzywizna średnia
z = f(x,y)
Krzywizna Gaussa
Parametr powierzchni Krzywizna Gaussa mierzy ogólną krzywiznę powierzchni. Jest obliczana jako iloczyn krzywizny minimalnej i maksymalnej. Może przyjmować wartości ujemne i dodatnie. Wartości dodatnie wskazują, że powierzchnia w danej komórce jest wypukła, a ujemne — że jest wklęsła. Wartość 0 wskazuje, że powierzchnia jest płaska.
Krzywizna Gaussa jest obliczana na podstawie następującego wzoru:

- Gdzie:
KG = krzywizna Gaussa
z = f(x,y)
Krzywizna Casoratiego
Parametr powierzchni Krzywizna Casoratiego mierzy ogólną krzywiznę powierzchni. Może być równa 0 lub przyjmować dowolną wartość dodatnią. Duże wartości dodatnie wskazują obszary o ostrych zagięciach w wielu kierunkach.
Krzywizna Casoratiego jest obliczana na podstawie następującego wzoru:

- Gdzie:
KC = krzywizna Casoratiego
z = f(x,y)
Podstawowe i kombinatoryczne typy krzywizny
Krzywizna stycznej (normalnej warstwicy), krzywizna profilu (normalnej linii spadku) oraz skręcenie geodezyjne warstwicy są uważane za podstawowe typy krzywizny, ponieważ inne krzywizny można wyrazić jako ich kombinacje. Przyjmując terminologię Minára i in, (2020), można je opisać jako podstawowe trio.
Krzywiznę średnią, krzywiznę Gaussa oraz krzywiznę Casoratiego można wyrazić nie tylko za pomocą podanych wyżej wyrażeń, ale także jako kombinacje podstawowego tria.
Krzywizna średnia jest obliczana na podstawie następującego wzoru:

- Gdzie:
KM = krzywizna średnia
KT = krzywizna styczna (normalnej warstwicy)
KP = krzywizna profilu (normalnej linii spadku)
z = f(x,y)
Krzywizna Gaussa jest obliczana na podstawie następującego wzoru:

- Gdzie:
KG = krzywizna Gaussa
KT = krzywizna styczna (normalnej warstwicy)
KP = krzywizna profilu (normalnej linii spadku)
τ = skręcenie geodezyjne warstwicy
z = f(x,y)
Krzywizna Casoratiego jest obliczana na podstawie następującego wzoru:

- Gdzie:
KC = krzywizna Casoratiego
KM = krzywizna średnia
KG = krzywizna Gaussa
z = f(x,y)
Porównanie z algorytmami starszego narzędzia Krzywizna
Do obliczania krzywizny w narzędziu Parametry powierzchni używane są inne algorytmy niż w narzędziu Krzywizna, a także matematyka geodezyjna. Z tego względu nie należy dokonywać bezpośrednich porównań wyników uzyskiwanych za pomocą obydwu tych narzędzi. Typy krzywizny w narzędziu Parametry powierzchni — profilu (normalnej linii spadku) oraz stycznej (normalnej warstwicy) — są prawdziwymi krzywiznami geometrycznymi (Minár i in. 2020). Krzywizna średnia w narzędziu Parametry powierzchni jest wartością średnią minimalnej i maksymalnej krzywizny w danym punkcie. Typy Profilu i Planu w narzędziu Krzywizna są pochodnymi kierunkowymi, a nie rzeczywistymi miarami geometrycznej krzywizny powierzchni w danej lokalizacji (Zevenbergen i Thorne 1987). Znak (plus lub minus) w przypadku krzywizny profilu (normalnej linii spadku) w narzędziu Parametry powierzchni jest przeciwny niż znak krzywizny profilu w narzędziu Krzywizna. W narzędziu Parametry powierzchni obliczenia są wykonywane w przestrzeni geodezyjnej, natomiast w narzędziu Krzywizna używane są planarne współrzędne i matematyka. Narzędzie Parametry powierzchni może dopasować powierzchnię kwadratową albo dwukwadratową, natomiast narzędzie Krzywizna obsługuje tylko powierzchnie dwukwadratowe.
Odległość sąsiedztwa
Wartość Odległość sąsiedztwa to odległość na mapie od środka bieżącej przetwarzanej komórki do środka sąsiada ortogonalnego. Mniejsza odległość sąsiedztwa pozwala uwzględnić większą lokalną zmienność terenu i dzięki temu uzyskać cechy mniejszych obiektów krajobrazu. W przypadku danych wysokościowych o wyższej rozdzielczości większa odległość sąsiedztwa może być bardziej odpowiednia ze względu na błąd skali (szum) w danych, który nie odzwierciedla interesujących procesów kształtowania terenu, lub dlatego, że forma ukształtowania terenu jest lepiej rozpoznawalna przy większych odległościach.
W przykładzie poniżej użyto cyfrowego modelu powierzchni o rozdzielczości 5 metrów, w którym występuje znaczący szum i fragmentacja artefaktów widocznych w wynikowej krzywiźnie profilu (normalnej linii spadku). Na pierwszej ilustracji używane jest domyślne okno 3 x 3 lub odległość sąsiedztwa wynosząca 5 metrów, na drugiej ilustracji występuje okno 9 x 9 komórek lub odległość sąsiedztwa wynosząca 20 metrów, a na trzeciej okno 15 x 15 komórek lub odległość sąsiedztwa wynosząca 35 metrów. W tym przykładzie wraz ze zwiększaniem odległości sąsiedztwa najbardziej znaczące lub podstawowe obiekty krajobrazu stają się coraz lepiej widoczne, a szum i fragmentacja artefaktów są mniej widoczne. Mimo że większa odległość sąsiedztwa zawsze skutkuje mniejszym szumem, odległość najbardziej odpowiednia zależy od wielkości komórki w danych oraz wielkości obiektów ukształtowania terenu, które są istotne w danym zastosowaniu.

Najmniejsza odległość sąsiedztwa jest równa wielkości komórki rastra wejściowego. Największa odległość sąsiedztwa jest 7 razy większa od wielkości komórki, czego wynikiem jest okno o wielkości 15 x 15 komórek. Dowolna podana odległość, która jest większa niż 7-krotność wielkości komórki, powoduje zawsze użycie okna o wielkości 15 x 15 komórek.

Jeśli określono odległość sąsiedztwa, która nie skutkuje nierównymi przedziałami wielkości komórki, zostanie ona zaokrąglona w górę do najbliższego przedziału wielkości komórki. Na przykład na powyższej ilustracji, jeśli podana zostanie odległość sąsiedztwa wynosząca 25 m, zostanie ona zaokrąglona do najbliższej wielokrotności wielkości komórki wynoszącej 30 m (trzy razy wielkość komórki), czego wynikiem będzie okno o wielkości 7 x 7 komórek.
Jeśli rozdzielczość przestrzenna danych wysokościowych jest dużo większa niż niezbędna do analizy interesujących form ukształtowania terenu, odpowiedniejszą w danym zastosowaniu alternatywą dla opcji okna sąsiedztwa jest ponowne próbkowanie lub zagregowanie danych w komórkach o większej wielkości.
Obliczenia parametrów powierzchni są wrażliwe na wielkość komórki i odległość sąsiedztwa. Wilson (2018) oraz Minár i in. (2020) zawierają praktyczne i aktualne podsumowania licznych badań prowadzonych w tej dziedzinie.
Sąsiedztwo adaptacyjne
Gdy zaznaczony jest parametr Użyj sąsiedztwa adaptacyjnego, odległości sąsiedztwa (wielkość okna lub obszar) używana przy obliczaniu parametrów powierzchni zmienia się, aby lepiej wychwytywać istotne zmiany w krajobrazie. Narzędzie automatycznie określa odpowiednią wielkość okna, obliczając lokalne odchylenie od wysokości średniej (DEV) (Wilson i Gallant, 2000) na podstawie wartości wszystkich komórek w obrębie sąsiedztwa. Podejmowana jest próba użycia największej możliwej wielkości okna z jednoczesną minimalizacją zmienności powierzchni (James i in., 2014). Największa używana wielkość okna jest określona w parametrze Odległość sąsiedztwa.
Podczas obliczania parametru powierzchni ze stałym sąsiedztwem używane są wartości wszystkich komórek w obrębie sąsiedztwa. Podczas obliczania parametru powierzchni z użyciem sąsiedztwa adaptacyjnego używanych jest tylko dziewięć komórek z sąsiedztwa (zewnętrzne komórki ortogonalne i diagonalne oraz środkowa przetwarzana komórka).

Sąsiedztwo adaptacyjne jest szczególnie przydatne podczas analizowania krajobrazu z obiektami terenowymi znacznie różniącymi się wielkością, takimi jak duże pofałdowane wzgórza z małymi wąwozami lub strumieniami, na podstawie modelu DEM o wysokiej rozdzielczości. W takiej sytuacji mała odległość sąsiedztwa, np. 1 metr, może być używana w przypadku wąwozów z potokami, natomiast większa odległość sąsiedztwa wynosząca 10 lub 15 m może być używana w przypadku wzgórz.
Na ilustracji poniżej mniejsze sąsiedztwo jest odpowiednie w przypadku potoku i krawędzi klifu, większe w przypadku przejścia od wzgórza do równiny, a jeszcze większe w przypadku prawie płaskiego jednorodnego płaskowyżu.

Efekt brzegowy odległości sąsiedztwa
Do komórek wokół zewnętrznego brzegu w danych wynikowych zostanie przypisana wartość Brak danych, jeśli ilość dostępnych informacji na potrzeby obliczenia będzie niewystarczająca.
Gdy używana będzie opcja sąsiedztwa adaptacyjnego, zasięg rastra wynikowego zmniejszy się wokół zewnętrznego brzegu o jedną komórkę.
Gdy używana będzie stała odległość sąsiedztwa większa niż wejściowa wielkość komórki, zasięg rastra wynikowego zostanie zmniejszony odpowiednio do użytej odległości sąsiedztwa. Wielkość zmniejszenia zostanie obliczona za pomocą wzoru: (szerokość okna w pikselach - 1) / 2
Jeśli na przykład dana odległość sąsiedztwa będzie skutkować użyciem okna 7 x 7 komórek, raster wynikowy zostanie zmniejszony wokół zewnętrznego brzegu o trzy komórki.
Powierzchnie kwadratowe i dwukwadratowe
Istnieją dwa typy powierzchni lokalnych, które można dopasować do okna sąsiedztwa: kwadratowe i dwukwadratowe. Domyślna jest powierzchnia kwadratowa i jest ona zalecana w przypadku większości danych i zastosowań.
Powierzchnia kwadratowa jest dopasowywana do punktów metodą najmniejszych kwadratów i nie przechodzi dokładnie przez wszystkie punkty. Ze względu na to, że powierzchnia kwadratowa nie przechodzi dokładnie przez wszystkie punkty, minimalizuje wpływ zaszumionych danych, takich jak powierzchnia lidarowa o wysokiej rozdzielczości. Powoduje to uzyskanie bardziej reprezentatywnego wyniku dla wszystkich parametrów powierzchni, co jest szczególnie ważne przy obliczaniu krzywizny.
Powierzchni kwadratowej należy używać, gdy określona jest wielkość sąsiedztwa większa niż wielkość komórki oraz podczas korzystania z opcji sąsiedztwa adaptacyjnego.
Powierzchnia dwukwadratowa jest dokładnie dopasowana do danych z sąsiednich komórek. Ta opcja jest odpowiednia w przypadku bardzo dokładnej powierzchni wejściowej wolnej od losowego szumu. Jeśli odległość sąsiedztwa przekracza wielkość komórki rastra wejściowego, zalety dokładności typu powierzchni dwukwadratowej zostaną utracone. Dlatego należy pozostawić domyślną odległość sąsiedztwa (równą wielkości komórki).
Transformacja współrzędnych geodezyjnych
Narzędzie Parametry powierzchni wykonuje obliczenia w geometrycznym układzie współrzędnych 3D — nazywanym również geostacjonarnym układem współrzędnych (Earth Centered, Earth Fixed — ECEF) — w którym uwzględniany jest kształt Ziemi jako elipsoidy. Na wynik obliczenia nie ma wpływu sposób odwzorowania zestawu danych. Używane są jednostki Z rastra wejściowego, jeśli są one zdefiniowane w odniesieniu przestrzennym. Jeśli odniesienie przestrzenne danych wejściowych nie definiuje jednostek Z, należy to zrobić za pomocą parametru Jednostka Z.
Układ współrzędnych ECEF to trójwymiarowy prawoskrętny kartezjański układ współrzędnych, którego punktem początkowym jest środek Ziemi, a każda lokalizacja jest reprezentowana za pomocą współrzędnych X, Y i Z. Na poniższej ilustracji przedstawiono przykładową lokalizację docelową T wyrażoną za pomocą współrzędnych geocentrycznych:

Raster powierzchni jest przekształcany z wejściowego układu współrzędnych do trójwymiarowego geocentrycznego układu współrzędnych.
W obliczeniu geodezyjnym używana jest współrzędna X, Y, Z obliczana na podstawie jej współrzędnych geodezyjnych (szerokość geograficzna φ, długość geograficzna λ, wysokość h). Jeśli układem współrzędnych wejściowego rastra powierzchni jest układ współrzędnych odwzorowanych (Projected Coordinate System — PCS), raster zostaje najpierw ponownie odwzorowany na układ współrzędnych geograficznych (Geographical Coordinate System — GCS), w którym każda lokalizacja ma współrzędne geodezyjne. Następnie zostaje przekształcony na układ współrzędnych ECEF. Wysokość h (wartość Z) to wysokość elipsoidy w odniesieniu do powierzchni elipsoidy. Zobacz poniższą ilustrację.

Do przekształcenia współrzędnych geodezyjnych (szerokość geograficzna φ, długość geograficzna λ, wysokość h) na współrzędne ECEF używane są następujące wzory:
X = (N(φ) + h) * cos(φ) * cos(λ)Y = (N(φ) + h) * cos(φ) * sin(λ)Z = (b2 / a2 * N(φ) + h) * sin(φ)- Gdzie:
N(φ) = a2 / √( a2 * cos(φ)2 + b2 * sin(φ)2)φ = szerokość geograficzna
λ = długość geograficzna
h = wysokość elipsoidy
a = oś wielka elipsoidy
b = oś mała elipsoidy
W powyższych wzorach wysokość h elipsoidy jest wyrażona w metrach. Jeśli jednostka Z rastra wejściowego jest wyrażona w dowolnej innej jednostce, zostaje ona przekształcona wewnętrznie na metry.
Polecana literatura
W celu lepszego zrozumienia metod analizy powierzchni i ich zastosowań można zapoznać się z poniższymi pozycjami. Ponadto w pozycjach Hengl i Reuter (2008) oraz Wilson (2018) dostępny jest obszerny katalog tych oraz wielu innych technik analizy terenu wraz z ich zastosowaniami. Pozycja Minára i in. (2020) zawiera jasne i obszerne podsumowanie oraz porównanie wcześniejszych prac dotyczących krzywizny powierzchni terenu, a także definicje różnych typów krzywizny.
Odniesienia
B. Hofmann-Wellenhof, H. Lichtenegger i J. Collins, 2001. GPS - theory and practice. Sekcja 10.2.1. str. 282.
Burrough, P. A. i McDonell, R. A., 1998. Principles of Geographical Information Systems (Oxford University Press, New York), str. 190.
Crane K., 2018. Discrete Differential Geometry: An Applied Introduction. Notices of the AMS, Communication. https://www.cs.cmu.edu/~kmcrane/Projects/DDG/paper.pdf
David Eberly 1999. Least Squares Fitting of Data (Geometric Tools, LLC), str. 3.
E.J.Krakiwsky i D.E.Wells, 1971. Coordinate Systems In Geodesy (GEODESY AND GEOMATICS ENGINEERING, UNB), LECTURE NOTES, Nr 16, 1971, str. 18–38
Hengl T. i Reuter H. 2008. Geomorphometry Concepts, Software, Applications. Elsevier.
James D.E., M.D. Tomer, S.A. Porter. 2014. Trans-scalar landform segmentation from high-resolution digital elevation models. Plakat zaprezentowany na dorocznej konferencji użytkowników ESRI w lipcu 2014 roku w San Diego w Kalifornii.
Lancaster, P. i Šalkauskas, K. Curve and Surface Fitting: An Introduction. London: Academic Press, 1986.
Marcin Ligas i Piotr Banasik, 2011. Conversion between Cartesian and geodetic coordinates on a rotational ellipsoid by solving a system of nonlinear equations (GEODESY AND CARTOGRAPHY), Tom 60, Nr 2, 2011, str. 145–159
Minár, J., Evans, I. S., & Jenčo, M. (2020). A comprehensive system of definitions of land surface (topographic) curvatures, with implications for their application in geoscience modelling and prediction. Earth-Science Reviews, 103414. https://doi.org/10.1016/j.earscirev.2020.103414
Wilson J.P i Gallant, J.C. (Eds.) 2000. Terrain Analysis: Principles and Applications. John Wiley & Sons, Inc.
Wilson J.P 2018. Environmental Application of Digital Terrain Modeling. John-Blackwell, Inc.
Zevenbergen, L. W. i C. R. Thorne. 1987. Quantitative Analysis of Land Surface Topography. Earth Surface Processes and Landforms 12: 47–56.