Disponible con Image Server
Una vez calculada la distancia ajustada en línea recta, puede utilizar el factor vertical para controlar la tasa a la que se cubre la distancia. También puede usar la superficie de coste, las características del elemento en movimiento y el factor horizontal para controlar la velocidad.
El factor vertical tiene en cuenta el esfuerzo de moverse por las pendientes en el paisaje. Este factor afecta a la forma en que se cubre la distancia. Ir cuesta arriba puede requerir más esfuerzo, ir cuesta abajo requiere menos esfuerzo y atravesar pendientes es algo intermedio. Modificar la distancia ajustada en línea recta para este esfuerzo ayuda a capturar la tasa a la que el viajero cubre la distancia.

No confunda el factor vertical, que representa el esfuerzo para superar las pendientes, con la distancia de superficie, que es un ajuste a la distancia en línea recta para la distancia real que el viajero cubre a medida que se mueve por las subidas y bajadas del paisaje.
Por lo general, la pendiente es relevante para el análisis de coste-distancia. Intuitivamente, es más costoso superar las pendientes pronunciadas que las pendientes más planas. Normalmente, la herramienta Parámetros de superficie se utiliza para generar un ráster de pendiente; sin embargo, a veces ese ráster de pendiente se introduce incorrectamente en la superficie de coste.
La opción Pendiente en la herramienta Parámetros de superficie calcula la tasa de cambio de elevación para cada celda del modelo digital de elevación (DEM). Es la primera derivada de un DEM. No obstante, como se mencionó anteriormente, importa cómo se encuentra la pendiente al moverse por una celda. El viajero puede evitar una celda que tenga asignada una pendiente pronunciada en una superficie de coste. Esto puede ser efectivo si el viajero se está moviendo cuesta arriba cuando viaja por la celda. Sin embargo, si el viajero se mueve hacia abajo o por esa pendiente cuando se mueve por la celda, se puede preferir la celda para viajar.
Puede tener en cuenta el esfuerzo para superar la pendiente utilizando el ráster de elevación en el factor vertical. No incluya el ráster de pendiente en la superficie de coste cuando la dirección en la que se encuentra la pendiente es importante.
La dirección en la que se calculan las pendientes en el factor vertical también puede ser modificada por el parámetro de características del origen Dirección del viaje. Es decir, si se mueve hacia un origen o se aleja de él, se cambiará la dirección en la que el viajero entra en una celda y, como resultado, la forma en que se encuentra la pendiente.
Incorporar el factor vertical (VF) es un modificador multiplicador para los cálculos de distancia ajustada en línea recta. Los detalles sobre cómo se calcula el factor vertical se proporcionan en el tema Algoritmo de acumulación de distancia.
Ejemplos de uso del factor vertical
El factor vertical se puede utilizar en varios escenarios, como los siguientes:
- Localice un nuevo camino de senderismo entre dos campamentos más largos, pero más fáciles de atravesar que subir directamente por la ruta más corta entre ellos.
- Examine los efectos de la sal esparcida por las carreteras en invierno en la salud de la vegetación circundante. La vegetación pendiente abajo de la carretera se verá más afectada por la escorrentía.
- Determine el movimiento de una criatura marina que depende del cambio en la concentración de salinidad.
Incorporar un factor vertical
El análisis de distancia se puede dividir conceptualmente en las siguientes áreas funcionales relacionadas:
- Calcule la distancia en línea recta y, opcionalmente, ajuste los cálculos con una barrera o un ráster de superficie.
- Una vez que se calcula la distancia en línea recta, puede determinar la velocidad a la que se encontrará la distancia a través de una superficie de coste, características del origen, un factor vertical y un factor horizontal. Cree el ráster de distancia acumulada.
- Conecte regiones sobre la superficie de distancia acumulada resultante utilizando una red óptima, rutas específicas o un corredor.
Desde la segunda área funcional, determine la tasa a la que se cubre la distancia a través de un factor vertical, como se ilustra a continuación. Este escenario implica un conjunto de cuatro estaciones de guardabosques (puntos morados) y ciertos ríos (líneas azules).

Para incorporar el esfuerzo que emplearán los guardabosques para superar las pendientes, se especifica un factor vertical. La superficie de elevación se utiliza como ráster vertical.

Crear un ráster de distancia utilizando un factor vertical
Para crear un ráster que incorpore un factor vertical, siga los pasos siguientes:
- Abra la herramienta Acumulación de distancia.
- Proporcione un origen para el parámetro Ráster o datos de origen de entidad de entrada.
- Asigne un nombre al ráster de acumulación de distancia de salida.
- Expanda la categoría Costes relativos al movimiento vertical.
- Proporcione un ráster de factor vertical para el parámetro Ráster vertical de entrada.
Esta entrada se utiliza para calcular la pendiente que se encuentra al desplazarse entre celdas. Normalmente, se debería especificar un ráster de elevación.
Aparece el parámetro Factor vertical.
- Especifique la configuración para el parámetro Factor vertical.
Este parámetro identifica el multiplicador que se debe aplicar al coste para ajustarlo al esfuerzo empleado para desplazarse por las pendientes encontradas.
- Haga clic en Ejecutar.
El factor vertical afecta a la tasa a la que se cubre la distancia
Para modificar la distancia de la velocidad a la que se encuentra y contabilizar el esfuerzo del viajero para superar pendientes, la herramienta hace lo siguiente:
- Calcule cómo se encuentra la pendiente al pasar de una celda a la siguiente. Esto se conoce como el ángulo de movimiento relativo vertical (VRMA).
- Identifica cómo el VRMA modificará la velocidad a la que se encuentra la distancia.
Calcular el VRMA
El VRMA es el ángulo de pendiente desde la celda de procesamiento (la celda de origen) hasta la celda hacia la que se mueve el viajero (la celda de destino). Se calcula la distancia para la celda de destino. Las alturas a partir de las cuales se calculan las pendientes se definen mediante el ráster de factor vertical de entrada.
La pendiente se calcula utilizando la fórmula del teorema de Pitágoras de la elevación sobre la extensión. La base del triángulo necesaria para determinar la pendiente se obtiene de la distancia ajustada en línea recta. La altura se establece al sustraer el valor de la celda de origen del valor de la celda de destino. El ángulo resultante es el VRMA.

El VRMA se especifica en grados. El rango de valores para el VRMA va desde -90 hasta +90 grados, teniendo en cuenta las pendientes positivas y negativas.
Identificar el multiplicador VF
El valor del VRMA se traza en el gráfico del factor vertical especificado para obtener el multiplicador del factor vertical que se utilizará en los cálculos que determinan el coste para llegar a la celda de destino. El valor de distancia para moverse a través de la celda se multiplica por el factor vertical identificado. Mientras más grande sea el factor vertical, más difícil resulta el movimiento. Un VF mayor que 1 aumenta el coste-distancia encontrado. Un VF menor que 1, pero mayor que 0 permite a la persona en movimiento cubrir las distancias a mayor tasa.
Por ejemplo, el siguiente gráfico muestra la relación del VF y el VRMA para una función de VF lineal:

Las funciones del factor vertical que permiten capturar la interacción del viajero con las pendientes que se encuentra son Binario, Lineal, Lineal inverso, Lineal simétrico, Lineal inverso simétrico, Cos, Sec, Cos-Sec y Sec-Cos. Consulte la sección Información adicional que aparece a continuación para obtener detalles sobre cada función.
Nota:
El factor vertical es un multiplicador. Tenga cuidado al especificar las unidades al combinar el factor vertical con una superficie de coste, características del origen o un factor horizontal. Generalmente, cuando se introduce una superficie de coste, el factor vertical debería ser un ajuste multiplicador de la tasa de unidades de superficie de coste. Si el tiempo es la unidad para la tasa de la superficie de coste, el factor vertical debería ser un modificador de tiempo. Solo uno de estos factores puede definir las unidades para la tasa. Los otros factores no tienen unidades, y sus valores son modificadores de multiplicador de las unidades especificadas.
Aplicaciones de muestra que usan un factor vertical
A continuación, se describen aplicaciones de muestra que usan un factor vertical.
Crear una zona de influencia con pendiente descendente para comprender el efecto de sal de invierno en la vegetación
Quiere identificar las áreas que están en pendiente descendente y a menos de 50 metros de una carretera, ya que estas áreas pueden verse afectadas por la escorrentía del agua salada de invierno. Desea medir la distancia a lo largo de la superficie del terreno. Puede utilizar la configuración de factor vertical Binario para evitar que la herramienta Acumulación de distancia identifique las celdas que estén más alto que las celdas de la carretera. A continuación, se muestran ejemplos de las zonas de influencia de pendiente descendente resultantes.

A modo de comparación, se utiliza una sección diferente de la carretera para mostrar la diferencia en las zonas de influencia en línea recta y en las zonas de influencia solo en pendiente descendente.

Para crear una zona de influencia con pendiente descendente, siga estos pasos:
- Abra la herramienta Acumulación de distancia.
- Especifique las carreteras en el parámetro Ráster o datos de origen de entidad de entrada.
- Asigne un nombre al valor del parámetro Ráster de acumulación de distancia de salida.
- Expanda la categoría Costes relativos al movimiento vertical.
- Proporcione un ráster de elevación en el parámetro Ráster vertical de entrada.
- Establezca Binario para el parámetro Factor vertical.
- Expanda la categoría Características del origen.
- Establezca el parámetro de distancia Acumulación máxima en 50 metros.
- Haga clic en Ejecutar.
Función de senderismo de Tobler
Desea calcular el tiempo de senderismo por el paisaje y ajustar la velocidad a pie en función de la pendiente encontrada en la dirección del viaje. La función de senderismo de Tobler es un modelo empírico utilizado para realizar ese ajuste. En el modelo, se presupone una velocidad a pie base de 6 km/h, que se logra al desplazarse ligeramente con pendiente descendente (alrededor de -3 grados).

Donde d es el ángulo a partir del cual se calcula la pendiente.
Cuando se representa gráficamente, la función de velocidad W tiene el siguiente aspecto:

Desea saber cuánto tiempo se tarda en recorrer una distancia determinada (una celda), no hasta dónde puede desplazarse en un periodo de tiempo específico, así que debe trabajar con el valor recíproco de la velocidad, llamado ritmo. El ritmo se expresa en horas por metro (porque las unidades de análisis de la distancia horizontal son metros), en lugar de en horas por kilómetro:

Donde d es el ángulo a partir del cual se calcula la pendiente.
La función de ritmo, llamada tiempo de senderismo, tiene el siguiente aspecto:

Para crear un mapa de tiempo de senderismo, siga estos pasos:
- Abra la herramienta Acumulación de distancia.
- Proporcione la ubicación de inicio de la caminata como valor del parámetro Ráster o datos de origen de entidad de entrada.
- Asigne un nombre al valor del parámetro Ráster de acumulación de distancia de salida.
- Proporcione una superficie de elevación con el parámetro Ráster de superficie de entrada.
- Expanda la categoría del parámetro Costes relativos al movimiento vertical y haga lo siguiente
- Proporcione un ráster de elevación en el parámetro Ráster vertical de entrada.
- Ajuste el valor del parámetro Factor vertical a Tiempo de senderismo.
- Defina los parámetros Ángulo de corte bajo y Ángulo de corte alto como valores predeterminados.
- Expanda la categoría Características del origen y defina el valor del parámetro Dirección de viaje en Viaje desde el origen.
- Haga clic en Ejecutar.
En el ráster de acumulación resultante puede hacer clic en cualquier lugar para encontrar el tiempo de senderismo, en horas, desde el origen hasta el lugar en el que ha hecho clic, tomando la ruta más óptima. Es importante incluir la dirección de viaje, ya que subir una pendiente se hace a menor velocidad que bajarla.
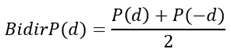
Existe una opción adicional para el parámetro Factor vertical que también se basa en la función de senderismo de Tobler: la opción Tiempo de caminata bidireccional. Este ajuste calcula el tiempo medio para caminar en una dirección en un sendero de ida y vuelta, utilizando la ruta más óptima. Si desea encontrar el sendero de ida y vuelta más óptimo, esta es la mejor manera de determinar la ruta óptima. Cuando se utiliza esta opción, el parámetro Dirección de viaje no afecta al resultado, ya que se trata de una media de ambas direcciones.
Información adicional
En las siguientes secciones se proporciona información adicional sobre los factores verticales.
Factores verticales
Para definir la función de factor vertical, se proporciona una lista de gráficos o puede crear una función personalizada utilizando un archivo ASCII. Las siguientes funciones de factor vertical están disponibles en la herramienta Acumulación de distancia:
Opciones de factor vertical, modificadores y valores predeterminados
| Función | Factor cero | Ángulo de corte bajo | Ángulo de corte alto | Pendiente | Potencia | Potencia cos | Potencia sec |
|---|---|---|---|---|---|---|---|
| Binario | 1 | -30 | 30 | N/A | N/A | N/A | N/A |
| Lineal | 1 | -90 | 90 | 1,111E-02 | N/A | N/A | N/A |
| Lineal inverso | 1 | -45 | 45 | -2.222E-02 | N/A | N/A | N/A |
| Lineal simétrico | 1 | -90 | 90 | 1,111E-02 | N/A | N/A | N/A |
| Lineal inverso simétrico | 1 | -45 | 45 | -2.222E-02 | N/A | N/A | N/A |
| Coseno (Cos) | N/A | -90 | 90 | N/A | 1 | N/A | N/A |
| Sec | N/A | -90 | 90 | N/A | 1 | N/A | N/A |
| Cos – Sec | N/A | -90 | 90 | N/A | N/A | 1 | 1 |
| Sec – Cos | N/A | -90 | 90 | N/A | N/A | 1 | 1 |
| Tiempo de senderismo | N/A | -70 | 70 | N/A | N/A | N/A | N/A |
| Tiempo de senderismo bidireccional | N/A | -70 | 70 | N/A | N/A | N/A | N/A |
Binario
Cuando el VRMA es mayor que el ángulo de corte bajo y menor que el ángulo de corte alto, el VF para moverse entre las dos celdas se establece en el valor asociado con el factor cero. Si el VRMA es mayor que el ángulo de corte, el VF se establece como infinito. El ángulo de corte predeterminado es de 30 grados, si no se especifica otro.

Lineal
Los VF están determinados por una línea recta en el sistema de coordenadas VRMA-VF. La línea intercepta el eje y, equivalente al factor VF, en el valor de Factor cero. La pendiente de la línea se puede especificar con el modificador Pendiente. Si no se identifica una pendiente, el valor predeterminado es 1/90 (especificado como 0,01111). El ángulo de corte bajo predeterminado es de -90 grados y el ángulo de corte alto predeterminado es de 90 grados.

Lineal inverso
Los VF están determinados por los valores inversos de una línea recta en el sistema de coordenadas VRMA-VF. La línea intercepta el eje y, equivalente al factor VF, en el valor de Factor cero. La pendiente de la línea se puede especificar con el modificador Pendiente. Si no se identifica una pendiente, el valor predeterminado es -1/45 (especificado como 0,02222). El ángulo de corte bajo predeterminado es de -45 grados y el ángulo de corte alto predeterminado es de 45.

Lineal simétrico
Este factor vertical se compone de dos funciones lineales relativas a los VRMA que son simétricas con respecto al eje VF (y). Ambas líneas interceptan al eje y en el valor VF asociado con el factor cero. La pendiente de las líneas se define como una pendiente única relativa al VRMA positivo mediante el modificador del factor vertical Pendiente, que refleja los VRMA negativos. La pendiente predeterminada es 1/90 (especificada como 0,01111). El ángulo de corte bajo predeterminado es de -90 y el ángulo de corte alto predeterminado es de 90.

Lineal inverso simétrico
Este factor vertical logra el efecto contrario a la palabra clave del factor vertical Lineal simétrico. Comprende dos funciones lineales inversas relativas a los VRMA, que son simétricas al eje VF (y). Ambas líneas interceptan el eje y con un valor VF de 1. La pendiente de las líneas se define como una pendiente única relativa al VRMA positivo mediante el modificador del factor vertical Pendiente, que refleja los VRMA negativos. La pendiente predeterminada es -1/45 (especificada como 0,02222). El ángulo de corte bajo predeterminado es de -45 y el ángulo de corte alto predeterminado es de 45.

Coseno (Cos)
El VF está determinado por la función coseno del VRMA. El ángulo de corte bajo predeterminado es de -90 grados y el ángulo de corte alto predeterminado es de 90 grados. El valor predeterminado de Potencia cos es 1,0.

Sec
El VF está determinado por la función secante del VRMA. El ángulo de corte bajo predeterminado es de -90 grados y el ángulo de corte alto predeterminado es de 90 grados. El valor predeterminado de Potencia sec es 1,0.

Cos-Sec
Cuando el VRMA es un valor de grado negativo, el VF se determina mediante la función coseno del VRMA. Si el VRMA es un valor de grado positivo, el VF se determina mediante la función secante del VRMA. El ángulo de corte bajo predeterminado es de -90 grados y el ángulo de corte alto predeterminado es de 90 grados. Los valores predeterminados de Potencia cos y Potencia ses son 1,0.

Sec-Cos
Cuando el VRMA es un valor de grado negativo, el VF se determina mediante la función secante del VRMA. Si el VRMA es un valor de grado positivo, el VF se determina mediante la función coseno del VRMA. El ángulo de corte bajo predeterminado es de -90 grados y el ángulo de corte alto predeterminado es de 90 grados. Los valores predeterminados de Potencia sec y Potencia cos son 1,0.

Tiempo de senderismo
El VF es el recíproco de la función de senderismo de Tobler y el resultado es el ritmo en horas. El coste más bajo se produce cuando el VRMA es de unos -3 grados. El ángulo de corte bajo predeterminado es de -70 grados y el ángulo de corte alto predeterminado es de 70 grados. La fórmula se ajustará a las unidades del mapa.
La fórmula de la función de senderismo de Tobler es la siguiente:

La función de tiempo de senderismo, que es la recíproca de la función de senderismo de Tobler, es la siguiente:

Donde d es el ángulo a partir del cual se calcula la pendiente.

Tiempo de senderismo bidireccional
Esta función determina el tiempo medio para caminar en una dirección en un sendero de ida y vuelta, utilizando la ruta más óptima. El VF se basa en el recíproco de la función de senderismo de Tobler, pero utiliza una media y el resultado es el ritmo en horas. La fórmula se ajustará a las unidades del mapa.
La fórmula de la función de senderismo de Tobler es la siguiente:

La función de tiempo de senderismo, que es la recíproca de la función de senderismo de Tobler, es la siguiente:

El tiempo de la función de senderismo bidireccional es la media del tiempo de senderismo utilizando los ángulos positivo y negativo.

Donde d es el ángulo a partir del cual se calcula la pendiente.

Tabla
La tabla es un archivo ASCII con dos columnas en cada línea.
La primera columna identifica el VRMA en grados, y la segunda columna identifica el VF. Cada línea especifica un punto. Dos puntos consecutivos producen un segmento de línea en el sistema de coordenadas VRMA-VF. Los ángulos se deben introducir en orden ascendente y en el rango de -90 a 90. El factor VF para cualquier ángulo VRMA menor que el primer (mínimo) valor de entrada o mayor que la última (máximo) entrada se establecerá como infinito. Un VF infinito se representa con -1 en la tabla ASCII.
A continuación, se muestra un ejemplo de tabla ASCII del factor vertical. Las unidades de la primera columna son grados y las unidades de la segunda columna son horas por metro.
-90 -1
-80 -1
-70 2.099409721
-60 0.060064462
-50 0.009064613
-40 0.00263818
-30 0.001055449
-20 0.000500142
-10 0.00025934
0 0.000198541
10 0.000368021
20 0.000709735
30 0.001497754
40 0.003743755
50 0.012863298
60 0.085235529
70 2.979204206
80 -1
90 -1Modificadores del factor vertical
Puede controlar aún más la función VRMA utilizando modificadores que permiten el refinamiento de los factores verticales. Puede haber un ángulo de umbral, de modo que, si el VRMA lo supera, el coste será tan grande que se convertirá en una barrera para el viaje. Este umbral también se conoce como el ángulo de corte. El VF se asigna al infinito cuando el VRMA supera este valor.
El gráfico del factor vertical tendrá un ángulo de corte bajo y un ángulo de corte alto, en contraste con el gráfico del factor horizontal, que solo tendrá un único ángulo de corte.
Utilizando estos modificadores, los ángulos de corte se pueden especificar para cada una de las funciones, las curvas trigonométricas se pueden elevar a una potencia, el factor cero puede modificar la intercepción del eje y para las funciones no trigonométricas, y se puede definir la pendiente de la línea en las funciones lineales.
Factor cero
Este modificador establece el factor vertical utilizado cuando el VRMA sea cero. Este factor posiciona el interceptor y de la función especificada.
Ángulo de corte bajo
Este modificador es el grado del VRMA que define el umbral más bajo, debajo del cual (menor que) los VF se establecen como el infinito, sin importar las palabras clave del factor vertical especificadas.
Ángulo de corte alto
Este modificador es el grado del VRMA que define el umbral más alto, por encima del cual (mayor que) los VF se establecen como el infinito, sin importar las palabras clave del factor vertical especificadas.

Pendiente
Este modificador identifica la pendiente de las líneas rectas en el sistema de coordenadas VRMA-VF para las palabras clave Lineal, Lineal inverso, Lineal simétrico y Lineal inverso simétrico. La pendiente está especificada como la elevación sobre la extensión (por ejemplo, una pendiente de 30 grados es 1/30, especificada como 0,03333). Consulte el diagrama VRMA lineal para obtener un ejemplo de una función lineal con una pendiente de 1/90.
Potencia
Este modificador es la potencia a la que se elevarán los valores.
Potencia cos
Este modificador es potencia a la que se elevarán los valores no negativos de la función VRMA Sec-Cos y los valores negativos de la función VRMA Cos-Sec. El VF está determinado por lo siguiente:
VF = cos(VRMA)powerPotencia sec
Este modificador es potencia a la que se elevarán los valores no negativos de la función VRMA Cos-Sec y los valores negativos de la función VRMA Sec-Cos. El VF está determinado por lo siguiente:
VF = sec(VRMA)powerNombre de tabla
Este modificador identifica el nombre del archivo ASCII que se utilizará con la palabra clave del factor vertical Tabla.
Recursos adicionales
Tobler, Waldo. 1993. Tres presentaciones sobre análisis y modelado geográfico: modelado geográfico no isotrópico, especulaciones sobre la geometría de la geografía y análisis espacial global (93-1). Recuperado de https://escholarship.org/uc/item/05r820mz