Verfügbar mit Image Server
Nach dem Berechnen der angepassten geradlinigen Entfernung können Sie mit dem horizontalen Faktor die Geschwindigkeit steuern, mit der die Entfernung zurückgelegt wird. Mithilfe der Kostenoberfläche, der Eigenschaften des Reisenden und des horizontalen Faktors können Sie die Geschwindigkeit ebenfalls steuern.
Der vertikale Faktor berücksichtigt die Anstrengung bei der Überquerung der Neigungen in der Landschaft. Diese Anstrengung wirkt sich darauf aus, wie die Entfernung zurückgelegt wird. Eine Route bergauf ist anstrengender als eine Route bergab, und die Überquerung von Neigungen liegt irgendwo dazwischen. Wenn die angepasste geradlinige Entfernung in Bezug auf diese Anstrengung geändert wird, kann die Geschwindigkeit, mit der die Route zurückgelegt wird, leichter erfasst werden.

Verwechseln Sie den vertikalen Faktor, der für die Anstrengung beim Überqueren von Neigungen steht, nicht mit der Oberflächenentfernung, bei der es sich um eine Anpassung der geradlinigen Entfernung an die tatsächliche Entfernung handelt, die auf der Route über die Höhen und Tiefen in der Landschaft zurückgelegt wird.
Die Neigung ist oftmals für die Kostenentfernungsanalyse relevant. Rein intuitiv ist es kostenaufwendiger, starke Neigungen zu überwinden als flachere Neigungen. In der Regel wird mithilfe des Werkzeugs Oberflächenparameter ein Neigungs-Raster generiert; zuweilen wird dieses Neigungs-Raster jedoch fehlerhaft in die Kostenoberfläche eingegeben.
Mit der Option Neigung im Werkzeug Oberflächenparameter wird die Änderungsrate der Höhe für jede Zelle des digitalen Höhenmodells (DEM) berechnet. Dies ist die erste Ableitung eines DEM. Wie oben bereits erläutert, ist es jedoch von Bedeutung, wie die Neigung auf dem Weg durch eine Zelle überwunden wird. Auf der Route wird eine Zelle, der in einer Kostenoberfläche eine starke Neigung zugewiesen wurde, ggf. vermieden. Dies kann effektiv sein, wenn sich der Reisende auf seinem Weg durch die Zelle neigungsaufwärts bewegt. Bewegt sich der Reisende auf seinem Weg durch die Zelle jedoch abwärts oder überquert er die Neigung, bevorzugt er die Zelle möglicherweise für seine Reise.
Mithilfe des Höhen-Rasters im vertikalen Faktor können Sie die Anstrengung beim Überwinden der Neigung berücksichtigen. Beziehen Sie das Neigungs-Raster nicht in die Kostenoberfläche ein, wenn die Richtung, in der die Neigung bewältigt wird, von Bedeutung ist.
Die Richtung, in der Neigungen im vertikalen Faktor berechnet werden, kann darüber hinaus durch den Parameter Reiserichtung der Quelleneigenschaften geändert werden. Das heißt, dass die Richtung, in der eine Zelle betreten wird und folglich wie die Neigung überwunden wird, dadurch geändert wird, ob die Route zu einer Quelle hin oder von ihr weg verläuft.
Die Einbeziehung des vertikalen Faktors (VF) ist ein verstärkender Modifikator bei der Berechnung angepasster geradliniger Entfernungen. Einzelheiten dazu, wie der vertikale Faktor berechnet wird, finden Sie im Thema zum Algorithmus der Entfernungsakkumulation.
Verwendungsbeispiele für den vertikalen Faktor
Der vertikale Faktor kann beispielsweise in den folgenden Szenarien verwendet werden:
- Beim Verorten eines neuen Wanderwegs zwischen zwei Campingplätzen, der zwar länger, aber leichter zu bewältigen ist, als wenn direkt die kürzeste Route zwischen ihnen genommen wird.
- Beim Untersuchen der Auswirkungen des im Winter auf die Straßen gestreuten Salzes auf die Gesundheit der Vegetation im Umland. Die Vegetation unterhalb von Straßenneigungen ist von dem Abfluss mehr betroffen.
- Beim Ermitteln der Bewegung eines Meeresbewohners, der von der Veränderung in der Konzentration des Salzgehalts abhängig ist.
Einbinden eines vertikalen Faktors
Die Entfernungsanalyse kann konzeptionell in die folgenden verwandten Funktionsbereiche unterteilt werden:
- Berechnen Sie die geradlinige Entfernung, und passen Sie die Berechnungen optional mit einem Barriere- oder Oberflächen-Raster an.
- Nachdem die geradlinige Entfernung berechnet wurde, können Sie die Geschwindigkeit ermitteln, mit der die Entfernung zurückgelegt wird, und zwar durch eine Kostenoberfläche, die Quelleneigenschaften, einen vertikalen Faktor und einen horizontalen Faktor. Erstellen Sie ein Raster für die akkumulative Entfernung.
- Verbinden Sie Regionen über die resultierende akkumulative Entfernungsoberfläche mithilfe eines optimalen Netzwerks, spezifischer Pfade oder eines Korridors miteinander.
Bestimmen Sie im zweiten Funktionsbereich die Geschwindigkeit, mit der die Entfernung zurückgelegt wird, unter Berücksichtigung eines vertikalen Faktors, wie unten veranschaulicht. Das Szenario umfasst vier Ranger-Stationen (violette Punkte) und einige Flüsse (blaue Linien).

Um die Anstrengung der Ranger bei der Überwindung der Neigungen zu berücksichtigen, wird ein vertikaler Faktor angegeben. Als vertikales Raster wird eine Höhenoberfläche verwendet.

Erstellen eines Entfernungs-Rasters unter Verwendung eines vertikalen Faktors
Führen Sie die folgenden Schritte aus, um ein Raster zu erstellen, das einen vertikalen Faktor enthält:
- Öffnen Sie das Werkzeug Entfernungsakkumulation.
- Geben Sie im Parameter Eingabe-Raster oder Feature-Quellen-Daten eine Quelle an.
- Geben Sie das Ausgabe-Entfernungsakkumulations-Raster an.
- Erweitern Sie die Kategorie Kosten im Verhältnis zur vertikalen Bewegung.
- Geben Sie ein Raster für den vertikalen Faktor für den Parameter Eingabe-Vertikal-Raster an.
Diese Eingabe wird zur Berechnung der Neigung verwendet, die beim Bewegen zwischen Zellen überwunden wird. In der Regel muss ein Höhen-Raster angegeben werden.
Der Parameter Vertikaler Faktor wird angezeigt.
- Geben Sie die Einstellungen für den Parameter Vertikaler Faktor an.
Mit diesem Parameter wird der Multiplikator identifiziert, der auf die Kosten anzuwenden ist, um die Anstrengung anzupassen, die damit verbunden ist, sich durch die vorkommenden Neigungen zu bewegen.
- Klicken Sie auf Ausführen.
Der vertikale Faktor beeinflusst die Geschwindigkeit, mit der die Entfernung zurückgelegt wird.
Um die Geschwindigkeit zu ändern, mit der die Entfernung zurückgelegt wird, und um der Anstrengung des Reisenden bei der Überwindung der Neigungen Rechnung zu tragen, führt das Werkzeug folgende Aktionen aus:
- Es wird berechnet, wie die Neigung auf dem Weg von einer Zelle zur nächsten überwunden wird. Dies wird als vertikaler relativer Bewegungswinkel (VRMA) bezeichnet.
- Es wird bestimmt, wie der VRMA die Geschwindigkeit ändert, mit der die Entfernung zurückgelegt wird.
Berechnen des VRMA
Der VRMA ist der Neigungswinkel von der Verarbeitungszelle (der Von-Zelle) bis zu der Zelle, in die die Route führt (die Bis-Zelle). Die Entfernung wird für die Bis-Zelle berechnet. Die Höhen von denen die Neigungen berechnet werden, werden durch das Eingabe-Raster für den vertikalen Faktor definiert.
Die Neigung wird mit dem Satz des Pythagoras berechnet. Die Basis des Dreiecks, das zur Bestimmung der Neigung erforderlich ist, wird von der angepassten geradlinigen Entfernung abgeleitet. Die Höhe wird festgelegt, indem man den Wert der Startzelle vom Wert der Zielzelle subtrahiert. Der resultierende Winkel ist der VRMA.

Der VRMA wird in Grad angegeben. Der Wertebereich für den VRMA ist -90 bis +90 Grad und berücksichtigt sowohl positive als auch negative Neigungen.
Identifizieren des VF-Multiplikators
Der VRMA-Wert wird dann auf dem angegebenen Diagramm für den vertikalen Faktor geplottet, um den Multiplikator für den vertikalen Faktor zu erhalten, der in den Berechnungen für die Kosten zum Erreich der Zielzelle verwendet wird. Der Entfernungswert für die Bewegung durch die Zelle wird mit dem identifizierten vertikalen Faktor multipliziert. Je größer der vertikale Faktor, je schwieriger die Bewegung. Durch einen VF über 1 wird die zurückgelegte Kostenentfernung vergrößert. Bei einem VF unter 1 aber über 0 können die Entfernungen schneller zurückgelegt werden.
Als Beispiel wird im nachfolgenden Diagramm die Beziehung zwischen VF und VRMA für eine lineare VF-Funktion dargestellt:

Die Funktionen des vertikalen Faktors, mit denen Sie die Interaktion zwischen der Person und den Neigungen, die sie zurücklegt, erfassen können, sind Binär, Linear, Invers Linear, Symmetrisch Linear, Symmetrisch Invers Linear, Cos, Sec, Cos-Sec und Sec-Cos. Informationen zu jeder Funktion finden Sie weiter unten im Abschnitt Weitere Informationen.
Hinweis:
Der vertikale Faktor ist ein Multiplikator. Beim Angeben der Einheiten ist Vorsicht geboten, wenn der vertikale Faktor mit einer Kostenoberfläche, mit Quelleneigenschaften oder mit einem horizontalen Faktor kombiniert wird. Wenn eine Kostenoberfläche eingegeben wird, sollte der vertikale Faktor im Allgemeinen eine Multiplikatoranpassung der Rate der Einheiten für die Kostenoberfläche sein. Wenn Zeit die Einheit für die Rate der Kostenoberfläche ist, sollte der vertikale Faktor ein Modifikator von Zeit sein. Die Einheiten für die Rate können nur durch einen dieser Faktoren definiert werden. Die anderen Faktoren haben keine Einheiten, und ihre Werte sind verstärkende Modifikatoren der angegebenen Einheiten.
Beispielanwendungen, die einen vertikalen Faktor verwenden
Im Folgenden werden Beispielanwendungen beschrieben, die einen vertikalen Faktor verwenden.
Erstellen eines Neigungspuffers zum besseren Verständnis der Auswirkung von Streusalz auf die Vegetation
Sie möchten Gebiete unterhalb einer Neigung identifizieren, die innerhalb von 50 Metern von einer Straße liegen, da diese Gebiete von abfließendem Wintersalzwasser betroffen sein können. Sie möchten die Entfernung entlang der Oberfläche des Terrains messen. Mit dem vertikalen Faktor Binär können Sie verhindern, dass das Werkzeug Entfernungsakkumulation Zellen identifiziert, die höher liegen als Straßenzellen. Im Folgenden finden Sie Beispiele für die resultierenden Neigungspuffer.

Zum Vergleich wird ein anderer Abschnitt der Straße herangezogen, um den Unterschied zwischen den Puffern für die geradlinige Entfernung und den Puffern nur für die Abwärtsneigung darzustellen.

Führen Sie die folgenden Schritte aus, um einen Puffer unterhalb einer Neigung zu erstellen:
- Öffnen Sie das Werkzeug Entfernungsakkumulation.
- Geben Sie im Parameter Eingabe-Raster oder Eingabequellenpositionen die Straßen an.
- Geben Sie dem Parameterwert Ausgabe-Entfernungs-Akkumulations-Raster einen Namen.
- Erweitern Sie die Kategorie Kosten im Verhältnis zur vertikalen Bewegung.
- Geben Sie im Parameter Eingabe-Vertikal-Raster ein Höhen-Raster an.
- Legen Sie als Parameter Vertikaler Faktor den Wert Binär fest.
- Erweitern Sie die Kategorie Eigenschaften der Quelle.
- Legen Sie den Entfernungsparameter Maximale Akkumulation auf 50 Meter fest.
- Klicken Sie auf Ausführen.
Die Wanderfunktion nach Tobler
Sie möchten die Dauer der Wanderung durch die Landschaft berechnen, während Sie gleichzeitig die Gehgeschwindigkeit basierend auf der Neigung anpassen, die in der Richtung der Route überwunden wird. Die Wanderfunktion nach Tobler ist ein empirisches Modell, mit dem diese Anpassung durchgeführt wird. In dem Modell wird eine Basis-Gehgeschwindigkeit von 6 km/h angenommen, die erreicht wird, wenn die Route leicht abwärts verläuft (ca. -3 Grad).

Dabei ist d der Winkel, aus dem sich die Neigung berechnet.
Als Graph dargestellt sieht die Geschwindigkeitsfunktion W wie folgt aus:

Sie möchten wissen, wie lange es dauert, eine bestimmte Entfernung (eine Zelle) zurückzulegen, und nicht, wie weit Sie sich in einem festgelegten Zeitraum bewegen können; also müssen Sie mit der reziproken Geschwindigkeit arbeiten, dem Kehrwert der Geschwindigkeit. Da die Einheit der horizontalen Entfernungsanalyse Meter ist, wird das Tempo in Stunden pro Meter ausgedrückt und nicht in Kilometern pro Stunde:

Dabei ist d der Winkel, aus dem sich die Neigung berechnet.
Die Tempofunktion, die auch Wanderdauerfunktion genannt wird, sieht wie folgt aus:

Gehen Sie folgendermaßen vor, um eine Karte zur Wanderdauer zu erstellen:
- Öffnen Sie das Werkzeug Entfernungsakkumulation.
- Geben Sie im Parameter Eingabe-Raster oder Eingabequellenpositionen den Startpunkt der Wanderung an.
- Geben Sie dem Parameterwert Ausgabe-Entfernungs-Akkumulations-Raster einen Namen.
- Geben Sie im Parameter Eingabe-Oberflächen-Raster eine Höhenoberfläche.
- Blenden Sie die Parameterkategorie Kosten im Verhältnis zur vertikalen Bewegung ein, und gehen Sie folgendermaßen vor:
- Geben Sie im Parameter Eingabe-Vertikal-Raster ein Höhen-Raster an.
- Legen Sie den Parameterwert Vertikaler Faktor auf Dauer der Wanderung fest.
- Legen Sie für die Parameter Tiefer Schnittwinkel und Hoher Schnittwinkel die Standardwerte fest.
- Blenden Sie die Kategorie Quelleneigenschaften ein, und legen Sie den Parameterwert Reiserichtung auf Von Quelle reisen fest.
- Klicken Sie auf Ausführen.
In dem resultierenden Akkumulations-Raster können Sie auf eine beliebige Stelle klicken, um die Wanderdauer in Stunden von der Quelle bis zu der angeklickten Position zu ermitteln, wobei von der optimalen Route ausgegangen wird. Die Angabe der Reiserichtung ist wichtig, da man eine Steigung bergauf langsamer bewältigt als bergab.
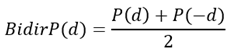
Für den Parameter Vertikaler Faktor steht eine weitere Option zur Verfügung, die ebenfalls auf der Wanderfunktion nach Tobler basiert: die Option Dauer der bidirektionalen Wanderung. Mit dieser Einstellung wird die durchschnittliche Wanderdauer ermittelt, die auf einer Wanderung mit Hin- und Rückweg in eine Richtung benötigt wird, wobei von der optimalen Route ausgegangen wird. Wenn Sie den optimalen Hin- und Rückweg bestimmen möchten, ist dies die beste Methode zum Ermitteln der optimalen Route. Bei Verwendung dieser Option hat der Parameter Reiserichtung keine Auswirkungen auf das Ergebnis, da es sich um einen Durchschnitt aus beiden Richtungen handelt.
Weitere Informationen
Die folgenden Abschnitte enthalten weitere Informationen zu vertikalen Faktoren.
Vertikale Faktoren
Um die Funktion für den vertikalen Faktor zu definieren, können Sie eine Auswahl aus einer Liste von bereitgestellten Graphen treffen oder eine benutzerdefinierte Funktion mithilfe einer ASCII-Datei erstellen. Die folgenden Funktionen für den vertikalen Faktor sind im Werkzeug Entfernungsakkumulation verfügbar:
Optionen, Modifikatoren und Standardwerte für den vertikalen Faktor
| Funktion | Null-Faktor | Tiefer Schnittwinkel | Hoher Schnittwinkel | Neigung | Power | Cos-Potenz | Sec-Potenz |
|---|---|---|---|---|---|---|---|
| Binär | 1 | -30 | 30 | N.z. | N.z. | N.z. | N.z. |
| Linear | 1 | -90 | 90 | 1.111E-02 | N.z. | N.z. | N.z. |
| Invers linear | 1 | -45 | 45 | -2.222E-02 | N.z. | N.z. | N.z. |
| Symmetrisch Linear | 1 | -90 | 90 | 1.111E-02 | N.z. | N.z. | N.z. |
| Symmetrisch Invers Linear | 1 | -45 | 45 | -2.222E-02 | N.z. | N.z. | N.z. |
| Cos | N.z. | -90 | 90 | N.z. | 1 | N.z. | N.z. |
| Sec | N.z. | -90 | 90 | N.z. | 1 | N.z. | N.z. |
| Cos – Sec | N.z. | -90 | 90 | N.z. | N.z. | 1 | 1 |
| Sec – Cos | N.z. | -90 | 90 | N.z. | N.z. | 1 | 1 |
| Dauer der Wanderung | N.z. | -70 | 70 | N.z. | N.z. | N.z. | N.z. |
| Dauer der bidirektionalen Wanderung | N.z. | -70 | 70 | N.z. | N.z. | N.z. | N.z. |
Binär
Wenn der VRMA größer als der niedrige Schnittwinkel und kleiner als der hohe Schnittwinkel ist, wird der VF zum Bewegen zwischen zwei Zellen auf den dem Null-Faktor zugewiesenen Wert festgelegt. Wenn der VRMA größer als der Schnittwinkel ist, wird der VF auf unendlich festgelegt. Der Standard-Schnittwinkel ist 30 Grad, sofern keiner festgelegt ist.

Linear
Die VFs werden von einer geraden Linie im VRMA-VF-Koordinatensystem bestimmt. Die Linie schneidet die Y-Achse entsprechend dem VF-Faktor am Wert "Null-Faktor". Die Neigung der Linie kann mit dem Modifizierer Neigung angegeben werden. Wenn keine Neigung identifiziert wird, beträgt der Standard 1/90 (angegeben als 0,01111). Der niedrige Standard-Schnittwinkel beträgt -90 Grad, der hohe Standard-Schnittwinkel beträgt 90 Grad.

Invers linear
Die VFs werden von den invertierten Werten einer geraden Linie im VRMA-VF-Koordinatensystem bestimmt. Die Linie schneidet die Y-Achse entsprechend dem VF-Faktor am Wert "Null-Faktor". Die Neigung der Linie kann mit dem Modifizierer Neigung angegeben werden. Wenn keine Neigung identifiziert wird, beträgt der Standard -1/45 (angegeben als 0,02222). Der niedrige Standard-Schnittwinkel beträgt -45 Grad, der hohe Standard-Schnittwinkel beträgt 45 Grad.

Symmetrisch Linear
Dieser vertikale Faktor besteht aus zwei linearen Funktionen relativ zu den VRMAs, die zur VF (Y)-Achse symmetrisch sind. Beide Linien schneiden die Y-Achse am für den Null-Faktor festgelegten VF-Wert. Die Neigung der Linien wird als einfache Neigung relativ zum positiven VRMA mithilfe des Neigung Vertikal-Faktor-Modifizierers definiert, der die negativen VRMAs spiegelt. Die Standard-Neigung ist 1/90 (angegeben als 0,01111). Der niedrige Standard-Schnittwinkel beträgt -90 Grad, der hohe Standard-Schnittwinkel beträgt 90 Grad.

Symmetrisch Invers Linear
Dieser vertikale Faktor ist invers zum Schlüsselwort Symmetrisch Linear für den vertikalen Faktor. Er besteht aus zwei invers linearen Funktionen relativ zu den VRMAs, die zur VF-Achse (Y-Achse) symmetrisch sind. Beide Linien schneiden die Y-Achse am VF-Wert 1. Die Neigung der Linien wird als einfache Neigung relativ zum positiven VRMA mithilfe des Neigung Vertikal-Faktor-Modifizierers definiert, der die negativen VRMAs spiegelt. Die Standard-Neigung ist -1/45 (angegeben als 0,02222). Der niedrige Standard-Schnittwinkel beträgt -45 Grad, der hohe Standard-Schnittwinkel beträgt 45 Grad.

Cos
Der VF wird von der Kosinusfunktion des VRMA bestimmt. Der niedrige Standard-Schnittwinkel beträgt -90 Grad, der hohe Standard-Schnittwinkel beträgt 90 Grad. Der Standardwert für Cos-Potenz ist 1,0.

Sec
Der VF wird von der Sekantenfunktion des VRMA bestimmt. Der niedrige Standard-Schnittwinkel beträgt -90 Grad, der hohe Standard-Schnittwinkel beträgt 90 Grad. Der Standardwert für Sec-Potenz ist 1,0.

Cos-Sec
Wenn der VRMA negativ ist, wird der VF von der Kosinusfunktion des VRMA bestimmt. Wenn der VRMA positiv ist, wird der VF von der Sekantenfunktion des VRMA bestimmt. Der niedrige Standard-Schnittwinkel beträgt -90 Grad, der hohe Standard-Schnittwinkel beträgt 90 Grad. Der Standardwert für Cos-Potenz und Sec-Potenz lautet 1,0.

Sec-Cos
Wenn der VRMA negativ ist, wird der VF von der Sekantenfunktion des VRMA bestimmt. Wenn der VRMA positiv ist, wird der VF von der Kosinusfunktion des VRMA bestimmt. Der niedrige Standard-Schnittwinkel beträgt -90 Grad, der hohe Standard-Schnittwinkel beträgt 90 Grad. Der Standardwert für Sec-Potenz und Cos-Potenz lautet 1,0.

Dauer der Wanderung
Der VF ist der Kehrwert der toblerschen Wanderfunktion, und das Ergebnis ist das Tempo in Stunden. Die geringsten Kosten entstehen, wenn der VRMA etwa -3 Grad beträgt. Der tiefe Standard-Schnittwinkel beträgt -70 Grad, der hohe Standard-Schnittwinkel beträgt 70 Grad. Die Formel wird an die Karteneinheiten angepasst.
Die Formel für die Wanderfunktion nach Tobler lautet wie folgt:

Die Wanderdauerfunktion, die der Kehrwert der toblerschen Wanderfunktion ist, lautet wie folgt:

Dabei ist d der Winkel, aus dem sich die Neigung berechnet.

Dauer der bidirektionalen Wanderung
Mit dieser Funktion wird die durchschnittliche Wanderdauer ermittelt, die auf einer Wanderung mit Hin- und Rückweg in eine Richtung benötigt wird, wobei von der optimalen Route ausgegangen wird. Der VF basiert auf dem Kehrwert der toblerschen Wanderfunktion, wobei jedoch der Durchschnitt herangezogen wird. Das Ergebnis ist das Tempo in Stunden. Die Formel wird an die Karteneinheiten angepasst.
Die Formel für die Wanderfunktion nach Tobler lautet wie folgt:

Die Wanderdauerfunktion, die der Kehrwert der toblerschen Wanderfunktion ist, lautet wie folgt:

Die Funktion der bidirektionalen Wanderung entspricht dem Durchschnitt der Wanderdauer unter Berücksichtigung des positiven und negativen Winkels.

Dabei ist d der Winkel, aus dem sich die Neigung berechnet.

Tabelle
Die Tabelle ist eine ASCII-Datei mit zwei Spalten in jeder Zeile.
Die erste Spalte identifiziert den VRMA in Grad, und die zweite Spalte identifiziert den VF. Jede Zeile gibt einen Punkt an. Zwei aufeinander folgende Punkte erzeugen im VRMA-VF-Koordinatensystem ein Liniensegment. Die Winkel müssen in aufsteigender Reihenfolge angegeben und zwischen -90 und 90 liegen. Der VF-Faktor für einen beliebigen VRMA-Winkel unter dem ersten (niedrigsten) Eingabewert oder über dem finalen (größten) Eingabewert wird auf unendlich festgelegt. Ein unendlicher VF wird durch -1 in der ASCII-Tabelle dargestellt.
Im Folgenden ist ein Beispiel für eine ASCII-Tabelle für den vertikalen Faktor dargestellt: Die Einheit der ersten Spalte ist Grad, und die Einheit der zweiten Spalte ist Stunden pro Meter.
-90 -1
-80 -1
-70 2.099409721
-60 0.060064462
-50 0.009064613
-40 0.00263818
-30 0.001055449
-20 0.000500142
-10 0.00025934
0 0.000198541
10 0.000368021
20 0.000709735
30 0.001497754
40 0.003743755
50 0.012863298
60 0.085235529
70 2.979204206
80 -1
90 -1Modifikatoren für den vertikalen Faktor
Ferner können Sie die VRMA-Funktion mithilfe von Modifikatoren steuern, die die Optimierung der vertikalen Faktoren ermöglichen. Es gibt möglicherweise einen Schwellenwertwinkel, bei dem die Kosten, sollte der VRMA diesen überschreiten, so groß sind, dass ein Bewegen verhindert wird. Dieser Schwellenwert wird als Schnittwinkel bezeichnet. Dem VF wird ein unendlicher Wert zugewiesen, wenn der VRMA diesen Wert überschreitet.
Das Diagramm für den vertikalen Faktor hat sowohl untere als auch obere Schnittwinkel, im Gegensatz zum Diagramm für den horizontalen Faktor, das nur einen einzelnen Schnittwinkel hat.
Unter Verwendung dieser Modifikatoren können für jede dieser Funktionen Schnittwinkel festgelegt werden. Die trigonometrischen Kurven können um eine Potenz erhöht werden, der Null-Faktor kann den Y-Achsen-Schnittwinkel für die nicht trigonometrischen Funktionen verändern, und die Neigung der Linie in den linearen Funktionen kann definiert werden.
Null-Faktor
Dieser Modifikator legt den vertikalen Faktor fest, der verwendet wird, wenn der VRMA 0 ist. Dieser Faktor positioniert den Y-Schnittpunkt der angegebenen Funktion.
Tiefer Schnittwinkel
Dieser Modifikator ist der VRMA-Grad, der den unteren Grenzwert definiert, unter welchem die VFs unabhängig von den angegebenen Schlüsselwörtern für den vertikalen Faktor auf unendlich festgelegt werden.
Hoher Schnittwinkel
Dieser Modifikator ist der VRMA-Grad, der den oberen Grenzwert definiert, über welchem die VFs unabhängig von den angegebenen Schlüsselwörtern für den vertikalen Faktor auf unendlich festgelegt werden.

Neigung
Dieser Modifikator identifiziert die Neigung der geraden Linien im VRMA-VF-Koordinatensystem für die Schlüsselwörter Linear, Invers Linear, Symmetrisch Linear und Symmetrisch Invers Linear. Neigung wird als Anstieg im Verlauf der Länge (eine 30-Grad-Neigung ist z. B. 1/30, die als 0,03333 angegeben wurden) angegeben. Ein Beispiel für eine lineare Funktion mit einer Neigung von 1/90 finden Sie im Linear-VRMA-Diagramm.
Power
Dieser Modifikator ist die Potenz, um die die Werte angehoben werden.
Cos-Potenz
Dieser Modifikator ist die Potenz, um die die nicht negativen Werte der Cos-Sec-VRMA-Funktion und die negativen Werte in der Sec-Cos-VRMA-Funktion angehoben werden. Der VF-Wert wird folgendermaßen bestimmt:
VF = cos-(VRMA-)PotenzSec-Potenz
Dieser Modifikator ist die Potenz, um die die nicht negativen Werte der Cos-Sec-VRMA-Funktion und die negativen Werte in der Sec-Cos-VRMA-Funktion angehoben werden. Der VF-Wert wird folgendermaßen bestimmt:
VF = sec-(VRMA-)PotenzTabellenname
Dieser Modifikator identifiziert den Namen der ASCII-Datei, die mit dem Schlüsselwort Tabelle für den vertikalen Faktor verwendet werden soll.
Zusätzliche Quellen
Tobler, Waldo. 1993. Three Presentations on Geographical Analysis and Modeling: Non-Isotropic Geographic Modeling; Speculations on the Geometry of Geography; and Global Spatial Analysis (93-1). Abgerufen von https://escholarship.org/uc/item/05r820mz